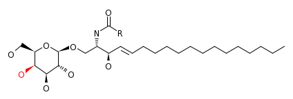
C02686 Galactosylceramide
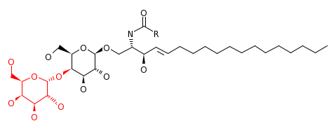
C06126 Digalactosylceramide
RP00725_C02686 RP00725_C06126
C02686 C06126