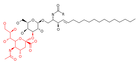
C02686 Galactosylceramide
C06128 GM4
RP03642_C02686 RP03642_C06128
C02686 C06128