C03201 1-Alkyl-2-acylglycerol
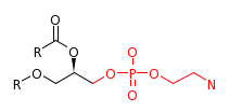
C04475 1-Alkyl-2-acylglycerophosphoethanolamine
RP05521_C03201 RP05521_C04475
C03201 C04475