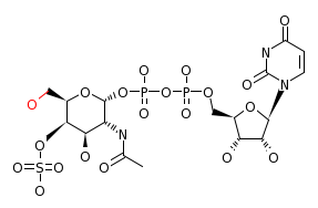
C04426 UDP-N-acetyl-D-galactosamine 4-sulfate
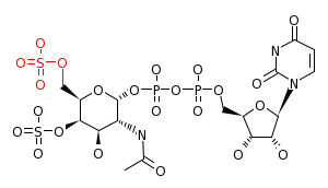
C04589 UDP-N-acetyl-D-galactosamine 4,6-bissulfate
RP04115_C04426 RP04115_C04589
C04426 C04589