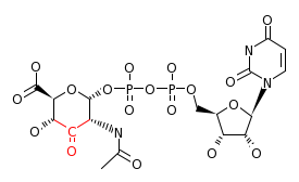
C04573 UDP-N-acetyl-2-amino-2-deoxy-D-glucuronate
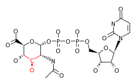
C20395 UDP-2-acetamido-2-deoxy-alpha-D-ribo-hex-3-uluronate
RP15952_C04573 RP15952_C20395
C04573 C20395