C04909 alpha-D-Glucosyl-1,6-alpha-D-glucosyl-1,6-alpha-D-glucosyl-1,3-1-O-alkyl-2-O-acylglycerol
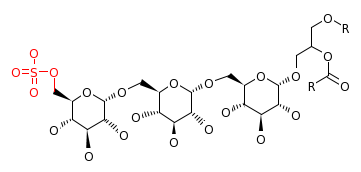
C04920 6-Sulfo-alpha-D-glucosyl-1,6-alpha-D-glucosyl-1,6-alpha-D-glucosyl-1,3-1-O-alkyl-2-O-acylglycerol
RP04287_C04909 RP04287_C04920
C04909 C04920