| C04922 | beta-D-Galactosyl-(1->4)-N-acetyl-beta-D-glucosaminyl-(1->3)-beta-D-galactosyl-(1->4)-beta-D-glucosyl-(1<->1)-ceramide |
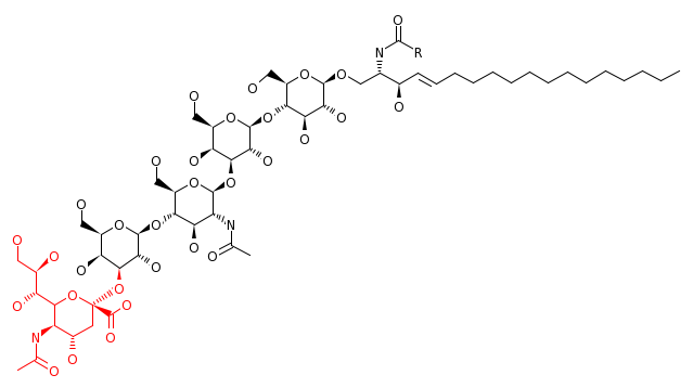
| C04936 | alpha-N-Acetylneuraminyl-2,3-beta-D-galactosyl-1,4-N-acetyl-beta-D-glucosaminyl-1,3-beta-D-galactosyl-1,4-D-glucosylceramide |
![]() |
![]() |
|
| C04922 | C04936 |