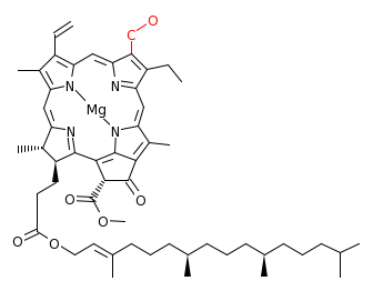
C05306 Chlorophyll a
C18151 7(1)-Hydroxychlorophyll a
RP15332_C05306 RP15332_C18151
C05306 C18151