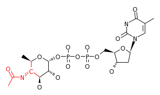
C06018 dTDP-4-acetamido-4,6-dideoxy-D-glucose
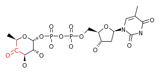
C11907 dTDP-4-oxo-6-deoxy-D-glucose
RP11209_C06018 RP11209_C11907
C06018 C11907