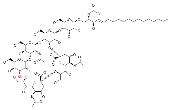
C06140 GT1b
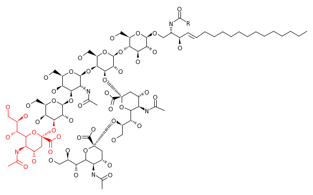
C06141 GD1b
RP00817_C06140 RP00817_C06141
C06140 C06141