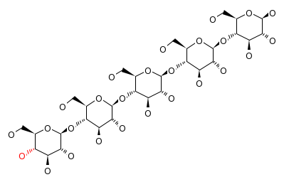
C06217 Cellohexaose
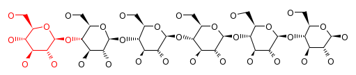
C06218 Cellopentaose
RP04741_C06217 RP04741_C06218
C06217 C06218