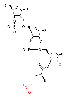
C06481 L-Seryl-tRNA(Sec)
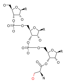
C16638 O-Phosphoseryl-tRNA(Sec)
RP13086_C06481 RP13086_C16638
C06481 C16638