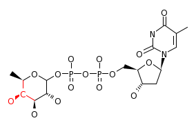
C07277 dTDP-D-fucose
C11907 dTDP-4-oxo-6-deoxy-D-glucose
RP05291_C07277 RP05291_C11907
C07277 C11907