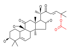
C08795 Cucurbitacin C
C22435 Deacetylcucurbitacin C
RP18505_C08795 RP18505_C22435
C08795 C22435