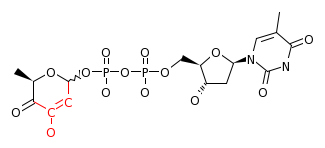
C11907 dTDP-4-oxo-6-deoxy-D-glucose
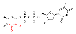
C11930 dTDP-2,6-dideoxy-D-glycero-hex-2-enos-4-ulose
RP05592_C11907 RP05592_C11930
C11907 C11930