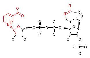
C13051 Nicotinic acid adenine dinucleotide phosphate
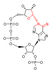
C20742 2'-Phospho-cyclic ADP-ribose
RP16728_C13051 RP16728_C20742
C13051 C20742