C21367 Valienol 1-phosphate
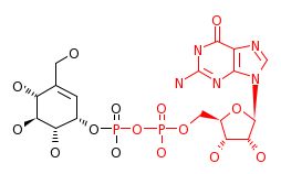
C21368 GDP-valienol
RP17733_C21367 RP17733_C21368
C21367 C21368