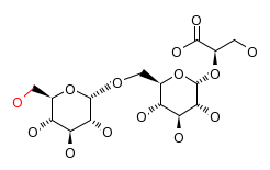
C21968 2-O-[alpha-D-Glucopyranosyl-(1->6)-alpha-D-glucopyranosyl]-D-glycerate
C21969 2-O-[6-O-Octanoyl-alpha-D-glucopyranosyl-(1->6)-alpha-D-glucopyranosyl]-D-glycerate
RP18300_C21968 RP18300_C21969
C21968 C21969