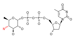
C04268 dTDP-4-amino-4,6-dideoxy-D-glucose
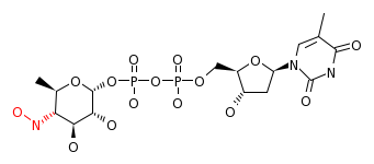
C21348 dTDP-4-hydroxyamino-4,6-dideoxy-alpha-D-glucose
RP17821_C04268 RP17821_C21348
C04268 C21348