KEGG   DRUG: Padeliporfin
Entry
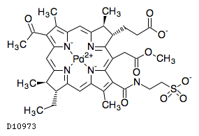
D10973                      Drug                                   
Name
Padeliporfin (USAN/INN)
Formula
C37H41N5O9S. Pd
Exact mass
837.1660
Mol weight
838.24
Structure
Simcomp
Remark
ATC code: L01XD07
Efficacy
Antineoplastic, Photosensitizer
Comment
Treatment of prostate cancer
Interaction
Brite
Anatomical Therapeutic Chemical (ATC) classification [BR:br08303]
 L ANTINEOPLASTIC AND IMMUNOMODULATING AGENTS
  L01 ANTINEOPLASTIC AGENTS
   L01X OTHER ANTINEOPLASTIC AGENTS
    L01XD Sensitizers used in photodynamic/radiation therapy
     L01XD07 Padeliporfin
      D10973  Padeliporfin (USAN/INN)
New drug approvals in Europe [br08329.html]
 European public assessment reports (EPAR) authorised medicine
  D10973
New drug approvals in the USA, Europe and Japan [br08328.html]
 Approval dates by FDA, EMA and PMDA
  D10973
Other DBs
CAS: 759457-82-4
PubChem: 350078331
LinkDB
KCF data

ATOM        53
            1   C8y C    15.4000  -13.2300
            2   N5x N    17.7800  -14.7000
            3   C8y C    17.7800  -13.2300
            4   C8x C    16.6600  -12.6000
            5   N4x N    17.7800  -17.1500 #-
            6   C8y C    19.1800  -17.1500
            7   C8y C    19.9500  -15.9600
            8   C8y C    19.1800  -14.7000
            9   C8y C    14.0000  -14.7000
            10  C8x C    13.2300  -15.9600
            11  C8y C    14.0000  -17.1500
            12  N5x N    15.4000  -17.1500
            13  C8y C    15.4000  -18.4800
            14  C8x C    16.6600  -19.2500
            15  C8y C    17.7800  -18.4800
            16  C8y C    13.2300  -13.5100
            17  C8y C    14.2100  -12.6000
            18  C1y C    19.0400  -12.6000
            19  C1y C    19.9500  -13.5100
            20  C1y C    13.2300  -18.3400
            21  C1y C    14.2100  -19.2500
            22  C8y C    19.0400  -19.2500
            23  C8y C    19.9500  -18.3400
            24  C1a C    11.9000  -18.4800
            25  C1b C    14.0000  -20.6500
            26  C1a C    19.2500  -20.6500
            27  C5a C    11.9000  -13.2300
            28  C1a C    14.0000  -11.2000
            29  C1a C    19.2500  -11.1300
            30  C5a C    21.1400  -19.0400
            31  N1b N    22.4000  -18.3400
            32  C1b C    23.6600  -19.0400
            33  C1b C    24.8500  -18.3400
            34  C1b C    21.1400  -12.7400
            35  C1b C    22.4000  -13.5100
            36  C6a C    23.6600  -12.7400
            37  O6a O    24.8500  -13.5100 #-
            38  O6a O    23.6600  -11.3400
            39  C1a C    12.6000  -21.2100
            40  C1a C    10.9200  -14.4900
            41  N4x N    15.4700  -14.7000 #-
            42  O5a O    11.4100  -11.9000
            43  O5a O    21.1400  -20.4400
            44  S4a S    26.1100  -19.0400
            45  O1d O    27.3000  -18.2700 #-
            46  O1d O    25.0600  -20.0200
            47  O1d O    27.0900  -20.0200
            48  C1b C    21.1400  -15.2600
            49  C7a C    22.3300  -15.9600
            50  O7a O    23.5200  -15.2600
            51  O6a O    22.3300  -17.3600
            52  C1a C    24.7100  -15.9600
            53  Z   Pd   16.2133  -15.9318 #2+
BOND        56
            1     2   3 1
            2     3   4 2
            3     1   4 1
            4     5   6 1
            5     6   7 2
            6     7   8 1
            7     2   8 2
            8     9  10 1
            9    10  11 2
            10   11  12 1
            11   12  13 2
            12   13  14 1
            13   14  15 2
            14   15   5 1
            15    9  16 2
            16    1  17 2
            17   17  16 1
            18    3  18 1
            19    8  19 1
            20   18  19 1
            21   11  20 1
            22   13  21 1
            23   20  21 1
            24   15  22 1
            25    6  23 1
            26   23  22 2
            27   20  24 1 #Up
            28   21  25 1 #Down
            29   22  26 1
            30   16  27 1
            31   17  28 1
            32   18  29 1 #Up
            33   23  30 1
            34   30  31 1
            35   31  32 1
            36   32  33 1
            37   19  34 1 #Down
            38   34  35 1
            39   35  36 1
            40   36  37 1
            41   36  38 2
            42   25  39 1
            43   27  40 1
            44    9  41 1
            45    1  41 1
            46   27  42 2
            47   30  43 2
            48   33  44 1
            49   44  45 1
            50   44  46 2
            51   44  47 2
            52   48  49 1
            53   48   7 1
            54   49  50 1
            55   49  51 2
            56   50  52 1

» Japanese version   » Back

DBGET integrated database retrieval system