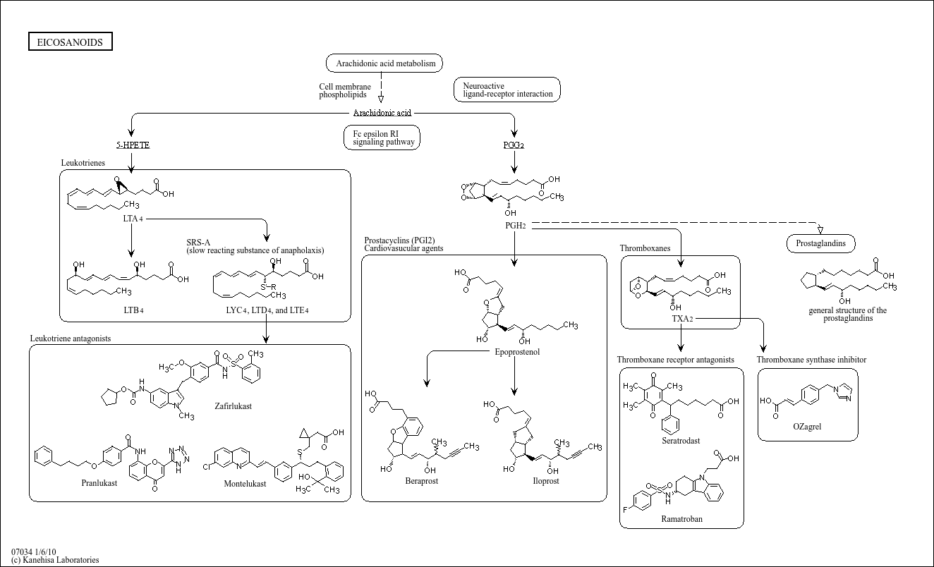
Eicosanoids - Reference pathway
[
Pathway menu
|
Pathway entry
|
Download
|
Help
]
Option
Scale:
100%
Image resolution:
High
Search
ID search
Color
Image (png) file 1x
Image (png) file 2x