| Entry |
|
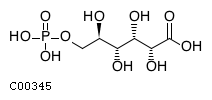
| Name |
|
| Formula |
C6H13O10P
|
| Exact mass |
276.0246
|
| Mol weight |
276.14
|
| Structure |

|
| Reaction |
|
| Pathway |
| map01110 | Biosynthesis of secondary metabolites |
| map01120 | Microbial metabolism in diverse environments |
|
| Module |
| M00004 | Pentose phosphate pathway (Pentose phosphate cycle) |
| M00006 | Pentose phosphate pathway, oxidative phase, glucose-6P => ribulose-5P |
| M00008 | Entner-Doudoroff pathway, glucose-6P => glyceraldehyde-3P + pyruvate |
|
| Enzyme |
|
| Other DBs |
|
| LinkDB |
|
| KCF data |
ATOM 17
1 C1b C 27.2968 -17.4960
2 C1c C 28.4865 -16.7961
3 C1c C 29.7463 -17.4960
4 C1c C 30.9360 -16.7961
5 C1c C 32.1258 -17.4960
6 C6a C 33.3855 -16.7961
7 O6a O 34.5752 -17.4960
8 O6a O 33.4027 -15.3965
9 O1a O 32.1086 -18.8956
10 O1a O 30.9360 -15.3964
11 O1a O 29.7635 -18.8956
12 O2b O 26.0789 -16.8060
13 P1b P 24.6792 -16.8060
14 O1c O 23.2795 -16.8060
15 O1c O 24.6790 -15.3967
16 O1c O 24.6794 -18.1955
17 O1a O 28.4693 -15.3965
BOND 16
1 1 2 1
2 2 3 1
3 3 4 1
4 4 5 1
5 5 6 1
6 6 7 1
7 6 8 2
8 5 9 1 #Down
9 4 10 1 #Down
10 3 11 1 #Down
11 1 12 1
12 12 13 1
13 13 14 1
14 13 15 2
15 13 16 1
16 2 17 1 #Up
|