KEGG   COMPOUND: C01168
Entry
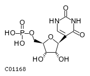
C01168                      Compound                               
Name
Pseudouridine 5'-phosphate
Formula
C9H13N2O9P
Exact mass
324.0359
Mol weight
324.18
Structure
Reaction
Pathway
map00240  Pyrimidine metabolism
map01100  Metabolic pathways
Enzyme
2.7.1.83        3.1.3.96        4.2.1.70
Other DBs
CAS: 1157-60-4
PubChem: 4395
ChEBI: 18116
PDB-CCD: PSU[PDBj]
NIKKAJI: J2.731.765K
LinkDB
KCF data

ATOM        21
            1   C1y C    23.5495  -18.3292
            2   C8y C    24.5378  -17.2739
            3   O2x O    22.4612  -17.5343
            4   C1y C    23.1582  -19.5827
            5   C8y C    25.7058  -16.5891
            6   C8x C    23.3885  -16.5891
            7   C1y C    21.3973  -18.3108
            8   C1y C    21.8253  -19.5827
            9   O1a O    23.9409  -20.6526
            10  N4x N    25.7058  -15.2441
            11  O5x O    26.8613  -17.2495
            12  N4x N    23.3885  -15.2441
            13  C1b C    20.1316  -17.9072
            14  O1a O    21.0487  -20.6648
            15  C8y C    24.5378  -14.5775
            16  O2b O    19.8442  -16.9611
            17  O5x O    24.5378  -13.4609
            18  P1b P    18.5113  -16.9550
            19  O1c O    17.1785  -16.9550
            20  O1c O    18.4991  -18.4217
            21  O1c O    18.5113  -15.4820
BOND        22
            1     1   2 1 #Up
            2     1   3 1
            3     1   4 1
            4     2   5 1
            5     2   6 2
            6     3   7 1
            7     4   8 1
            8     4   9 1 #Down
            9     5  10 1
            10    5  11 2
            11    6  12 1
            12    7  13 1 #Up
            13    8  14 1 #Down
            14   10  15 1
            15   13  16 1
            16   15  17 2
            17   16  18 1
            18   18  19 1
            19   18  20 1
            20   18  21 2
            21    7   8 1
            22   12  15 1

» Japanese version

DBGET integrated database retrieval system