KEGG   COMPOUND: C01191
Entry
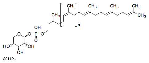
C01191                      Compound                               
Name
Dolichyl D-xylosyl phosphate
Formula
C25H45O8P(C5H8)n
Structure
Reaction
Enzyme
2.4.2.32        2.4.2.33
Brite
Lipids [BR:br08002]
 PR  Prenol lipids
  PR03 Polyprenols
   PR0308 Dolichol monophosphates
    C01191  Dolichyl D-xylosyl phosphate
Other DBs
PubChem: 4417
ChEBI: 17298
LIPIDMAPS: LMPR03080011
LinkDB
KCF data

ATOM        39
            1   C1b C    41.0200  -13.9300
            2   C1b C    39.9700  -14.6300
            3   C2c C    38.7100  -13.9300
            4   C1a C    38.7100  -12.5300
            5   C1b C    37.5200  -16.0300
            6   C2b C    37.5200  -14.6300
            7   C1b C    36.4700  -16.6600
            8   C1c C    35.2100  -15.9600
            9   C1a C    35.2100  -14.5600
            10  C1b C    34.0200  -18.0600
            11  C1b C    34.0200  -16.6600
            12  O2b O    32.7600  -18.9000
            13  P1b P    31.2900  -18.9000
            14  O2b O    29.8200  -18.9000
            15  O1c O    31.2900  -17.4300
            16  O1c O    31.2900  -20.3700
            17  C1a C    54.7400  -14.6300
            18  C2c C    53.4800  -13.9300
            19  C2b C    52.2200  -14.6300
            20  C1a C    53.4800  -12.5300
            21  C1b C    50.9600  -13.9300
            22  C1b C    49.7700  -14.6300
            23  C2c C    48.5100  -13.9300
            24  C2b C    47.2500  -14.6300
            25  C1a C    48.5100  -12.5300
            26  C1b C    45.9900  -13.9300
            27  C1b C    44.8000  -14.6300
            28  C2c C    43.5400  -13.9300
            29  C2b C    42.2800  -14.6300
            30  C1a C    43.5400  -12.5300
            31  C1y C    28.6076  -19.6000
            32  O2x O    27.4121  -18.9096
            33  C1x C    26.1996  -19.6095
            34  C1y C    26.1994  -21.0095
            35  C1y C    27.3949  -21.6999
            36  C1y C    28.6074  -21.0000
            37  O1a O    24.9870  -21.7095
            38  O1a O    29.8198  -21.7000
            39  O1a O    27.3949  -23.0999
BOND        39
            1     1   2 1
            2     3   4 1
            3     3   2 1
            4     5   6 1
            5     6   3 2
            6     5   7 1
            7     8   9 1
            8     8   7 1
            9    10  11 1
            10   11   8 1
            11   10  12 1
            12   12  13 1
            13   13  14 1
            14   13  15 1
            15   13  16 2
            16   21  22 1
            17   22  23 1
            18   23  24 2
            19   23  25 1
            20   24  26 1
            21   19  21 1
            22   17  18 1
            23   18  19 2
            24   26  27 1
            25   27  28 1
            26   28  29 2
            27   28  30 1
            28   29   1 1
            29   18  20 1
            30   31  14 1 #Up
            31   31  32 1
            32   32  33 1
            33   33  34 1
            34   34  35 1
            35   35  36 1
            36   31  36 1
            37   34  37 1 #Down
            38   36  38 1 #Down
            39   35  39 1 #Up
BRACKET     1    37.2400  -17.1500   37.2400  -11.9000
            1    40.2500  -11.9000   40.2500  -17.1500
            1  n
 ORIGINAL  1    2   3   4   5   6
 REPEAT    1

» Japanese version

DBGET integrated database retrieval system