KEGG   COMPOUND: C01201
Entry
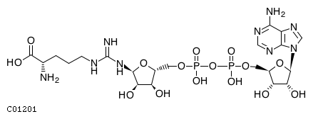
C01201                      Compound                               
Name
N(omega)-(ADP-D-ribosyl)-L-arginine;
Nomega-(ADP-D-ribosyl)-L-arginine
Formula
C21H35N9O15P2
Exact mass
715.1728
Mol weight
715.50
Structure
Reaction
Enzyme
Other DBs
PubChem: 4426
PDB-CCD: F2R[PDBj]
NIKKAJI: J2.731.870C
LinkDB
KCF data

ATOM        47
            1   N4y N    38.2389  -18.1595
            2   C8y C    36.9856  -17.7679
            3   C1y C    37.9023  -20.3609
            4   C8x C    38.9989  -17.0863
            5   C8y C    36.9779  -16.4518
            6   N5x N    35.8340  -18.4415
            7   O2x O    36.8132  -19.5774
            8   C1y C    37.5027  -21.5986
            9   N5x N    38.2233  -16.0443
            10  C8y C    35.8184  -15.7860
            11  C8x C    34.6748  -17.7913
            12  C1y C    35.7557  -20.3373
            13  C1y C    36.1709  -21.5986
            14  O1a O    38.2860  -22.6638
            15  N5x N    34.6669  -16.4595
            16  N1a N    35.8184  -14.4776
            17  C1b C    34.5024  -19.9533
            18  O1a O    35.4110  -22.6638
            19  O2b O    33.4449  -19.9065
            20  P1b P    32.0271  -19.8986
            21  O2c O    30.2487  -19.9065
            22  O1c O    32.0271  -21.4418
            23  O1c O    32.0271  -18.4337
            24  P1b P    28.6037  -19.8986
            25  O2b O    27.1857  -19.9065
            26  O1c O    28.6037  -21.3634
            27  O1c O    28.6037  -18.4258
            28  C1b C    25.8069  -19.8909
            29  C1y C    24.5770  -20.3216
            30  O2x O    23.4804  -19.5930
            31  C1y C    24.2323  -21.6690
            32  C1y C    22.4229  -20.4234
            33  C1y C    22.8693  -21.7003
            34  O1a O    25.0157  -22.6404
            35  N1b N    21.1302  -19.6714
            36  O1a O    22.1250  -22.7345
            37  C2c C    19.8846  -18.9272
            38  N1b N    18.6156  -19.6323
            39  N2a N    19.9082  -17.4700
            40  C1b C    17.3622  -18.8958
            41  C1b C    16.0932  -19.6010
            42  C1b C    14.8476  -18.8567
            43  C1c C    13.5630  -19.5617
            44  C6a C    12.3801  -18.7861
            45  N1a N    13.6177  -21.0188
            46  O6a O    11.1108  -19.4990
            47  O6a O    12.4030  -17.3292
BOND        50
            1     1   2 1
            2     3   1 1 #Up
            3     1   4 1
            4     2   5 2
            5     2   6 1
            6     3   7 1
            7     3   8 1
            8     4   9 2
            9     5  10 1
            10    6  11 2
            11    7  12 1
            12    8  13 1
            13    8  14 1 #Down
            14   10  15 2
            15   10  16 1
            16   12  17 1 #Up
            17   13  18 1 #Down
            18   17  19 1
            19   19  20 1
            20   20  21 1
            21   20  22 1
            22   20  23 2
            23   21  24 1
            24   24  25 1
            25   24  26 1
            26   24  27 2
            27   25  28 1
            28   29  28 1 #Down
            29   29  30 1
            30   29  31 1
            31   30  32 1
            32   31  33 1
            33   31  34 1 #Up
            34   32  35 1 #Up
            35   33  36 1 #Up
            36   35  37 1
            37   37  38 1
            38   37  39 2
            39   38  40 1
            40   40  41 1
            41   41  42 1
            42   42  43 1
            43   43  44 1
            44   43  45 1 #Down
            45   44  46 1
            46   44  47 2
            47    5   9 1
            48   11  15 1
            49   12  13 1
            50   32  33 1

» Japanese version

DBGET integrated database retrieval system