KEGG   COMPOUND: C03251
Entry
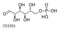
C03251                      Compound                               
Name
Aldohexose 6-phosphate
Formula
C6H13O9P
Exact mass
260.0297
Mol weight
260.14
Structure
Other DBs
PubChem: 6118
PDB-CCD: G6Q[PDBj]
NIKKAJI: J166.116G
LinkDB
KCF data

ATOM        16
            1   C1c C    25.8566  -16.4043
            2   C1c C    24.6452  -15.7020
            3   C1c C    27.0737  -15.7020
            4   O1a O    25.8566  -17.8030
            5   C1c C    23.4338  -16.4043
            6   O1a O    24.6452  -14.3035
            7   C1b C    28.2851  -16.4043
            8   O1a O    27.0737  -14.3035
            9   C4a C    22.2224  -15.7020
            10  O1a O    23.4338  -17.8030
            11  O2b O    29.4965  -15.7020
            12  O4a O    21.0110  -16.4043
            13  P1b P    30.8965  -15.7020
            14  O1c O    32.2965  -15.7020
            15  O1c O    30.8969  -14.2803
            16  O1c O    30.8961  -17.0798
BOND        15
            1     1   2 1
            2     1   3 1
            3     1   4 1 #Up
            4     2   5 1
            5     2   6 1 #Up
            6     3   7 1
            7     3   8 1 #Down
            8     5   9 1
            9     5  10 1 #Up
            10    7  11 1
            11    9  12 2
            12   11  13 1
            13   13  14 1
            14   13  15 2
            15   13  16 1

» Japanese version

DBGET integrated database retrieval system