KEGG   COMPOUND: C03374
Entry
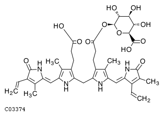
C03374                      Compound                               
Name
Bilirubin-glucuronoside;
Bilirubin monoglucuronide
Formula
C39H44N4O12
Exact mass
760.2956
Mol weight
760.78
Structure
Reaction
Other DBs
CAS: 27071-67-6
PubChem: 6209
NIKKAJI: J884.198E
LinkDB
KCF data

ATOM        55
            1   O6a O    25.9183  -13.0953
            2   C1y C    35.5384  -14.0687
            3   C1y C    36.2285  -12.8699
            4   C1y C    35.5311  -11.6651
            5   C1y C    34.1498  -11.6699
            6   C1y C    33.4596  -12.8758
            7   O2x O    34.1509  -14.0699
            8   O7a O    32.0747  -12.8774
            9   O1a O    36.2198  -10.4654
            10  C6a C    36.2326  -15.2653
            11  O1a O    37.6135  -12.8665
            12  O1a O    33.4542  -10.4741
            13  O6a O    35.5417  -16.4708
            14  O6a O    37.6174  -15.2633
            15  C2y C    34.9077  -20.5090
            16  C2y C    35.9736  -21.3183
            17  N1x N    35.3500  -19.2437
            18  C2y C    37.0812  -20.5464
            19  C5x C    36.6860  -19.2734
            20  C2y C    23.2337  -20.5565
            21  C2y C    22.1410  -21.3487
            22  N1x N    22.8172  -19.2795
            23  C2y C    20.9826  -20.6198
            24  C1a C    22.1248  -22.7317
            25  C5x C    21.4094  -19.3402
            26  O5x O    20.8374  -18.0890
            27  C8y C    30.3919  -20.5389
            28  C8y C    30.8072  -19.2644
            29  C1b C    29.0286  -21.2198
            30  N4x N    31.4768  -21.3205
            31  C8y C    32.1461  -19.2644
            32  C1b C    30.4445  -17.9540
            33  C8y C    27.6958  -20.5389
            34  C8y C    32.5543  -20.5389
            35  C1a C    32.8036  -18.0909
            36  C1b C    30.8015  -16.6502
            37  C8y C    27.2803  -19.2761
            38  N4x N    26.6168  -21.3394
            39  C2b C    33.7106  -21.2023
            40  C7a C    30.4328  -15.3350
            41  C8y C    25.9534  -19.2761
            42  C1b C    27.6186  -17.9715
            43  C8y C    25.5262  -20.5389
            44  O6a O    29.6640  -15.3467
            45  C1a C    25.2781  -18.1026
            46  C1b C    27.2686  -16.6678
            47  C2b C    24.3771  -21.2198
            48  C6a C    27.5999  -15.3642
            49  O6a O    28.4716  -15.3467
            50  C2b C    35.9431  -22.7030
            51  C2a C    37.1253  -23.4217
            52  C2b C    19.6628  -21.0353
            53  C2a C    19.3620  -22.3874
            54  C1a C    38.3894  -20.9964
            55  O5x O    37.5228  -18.1645
BOND        59
            1     6   8 1 #Up
            2     2   3 1
            3     4   9 1 #Up
            4     3   4 1
            5    15  16 1
            6    15  17 1
            7    16  18 2
            8    17  19 1
            9    18  19 1
            10    2  10 1 #Up
            11    4   5 1
            12    3  11 1 #Down
            13    5   6 1
            14    5  12 1 #Down
            15    6   7 1
            16   10  13 1
            17   20  21 1
            18   20  22 1
            19   21  23 2
            20   21  24 1
            21   27  28 2
            22   27  29 1
            23   27  30 1
            24   28  31 1
            25   28  32 1
            26   29  33 1
            27   30  34 1
            28   31  35 1
            29   32  36 1
            30   33  37 2
            31   33  38 1
            32   34  39 1
            33   36  40 1
            34   37  41 1
            35   37  42 1
            36   38  43 1
            37   40   8 1
            38   40  44 2
            39   41  45 1
            40   42  46 1
            41   43  47 1
            42   46  48 1
            43   47  20 2
            44   48   1 1
            45   48  49 2
            46   31  34 2
            47   41  43 2
            48   39  15 2
            49   22  25 1
            50   16  50 1
            51   25  26 2
            52   50  51 2
            53   23  25 1
            54   23  52 1
            55    7   2 1
            56   52  53 2
            57   10  14 2
            58   18  54 1
            59   19  55 2

» Japanese version

DBGET integrated database retrieval system