| Entry |
|
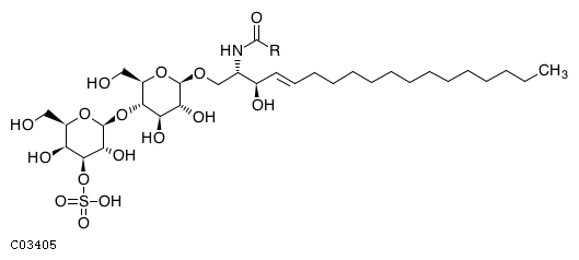
| Name |
Lactosylceramide sulfate;
SM3
|
| Formula |
C31H56NO16SR
|
| Structure |

|
| Remark |
|
| Reaction |
|
| Pathway |
|
| Enzyme |
|
| Brite |
Lipids [BR:br08002]
SP Sphingolipids
SP06 Acidic glycosphingolipids
SP0602 Sulfoglycosphingolipids (sulfatides)
G10258 S-3Gal-beta1->4Glc-beta1->1'Cer (SM3)
Lipids [BR:br08002]
SP Sphingolipids
SP06 Acidic glycosphingolipids
SP0602 Sulfoglycosphingolipids (sulfatides)
C03405 Lactosylceramide sulfate
|
| Other DBs |
|
| LinkDB |
|
| KCF data |
ATOM 50
1 C1y C 20.8028 -20.5296
2 C1y C 20.7703 -19.1434
3 O2a O 19.4896 -21.2041
4 C1y C 21.9137 -21.2602
5 O2x O 21.9758 -18.4678
6 C1b C 19.5517 -18.4186
7 C1y C 18.2968 -21.8855
8 C1y C 23.1500 -20.5859
9 O1a O 21.8691 -22.6595
10 C1y C 23.1875 -19.1926
11 O1a O 18.3588 -19.1492
12 O2x O 17.0781 -21.1606
13 C1y C 18.2533 -23.2905
14 O1a O 24.3426 -21.3225
15 O2a O 24.4178 -18.5372
16 C1y C 15.8609 -21.8291
17 C1y C 17.0161 -23.9463
18 O1a O 19.2713 -23.7960
19 C1b C 25.6423 -19.2303
20 C1y C 15.8990 -23.2342
21 C1b C 14.6610 -21.1043
22 O2a O 16.9784 -25.3582
23 C1c C 26.8538 -18.5124
24 O1a O 14.5671 -23.9086
25 O1a O 13.4681 -21.8291
26 C1c C 28.0968 -19.2055
27 N1b N 26.8479 -17.1004
28 C2b C 29.3214 -18.4809
29 O1a O 28.1099 -20.6107
30 C5a C 28.0536 -16.3885
31 C2b C 30.5457 -19.1740
32 O5a O 28.1047 -14.9764
33 R R 29.2837 -17.0685
34 C1b C 31.7572 -18.4620
35 C1b C 32.9875 -19.1551
36 C1b C 34.2121 -18.4373
37 C1b C 35.4364 -19.1304
38 C1b C 36.6610 -18.4057
39 C1b C 37.8913 -19.0931
40 C1b C 39.1097 -18.3810
41 C1b C 40.3400 -19.0742
42 C1b C 41.5515 -18.3623
43 C1b C 42.7947 -19.0496
44 C1b C 44.0062 -18.3435
45 C1b C 45.2367 -19.0308
46 C1a C 46.4553 -18.3119
47 S4a S 17.0364 -26.7533
48 O1d O 18.3658 -26.7533
49 O1d O 15.5669 -26.7533
50 O1d O 17.0292 -28.1527
BOND 51
1 2 5 1
2 2 6 1 #Up
3 7 3 1 #Up
4 4 8 1
5 4 9 1 #Up
6 5 10 1
7 6 11 1
8 7 12 1
9 7 13 1
10 8 14 1 #Down
11 10 15 1 #Up
12 12 16 1
13 13 17 1
14 13 18 1 #Down
15 15 19 1
16 16 20 1
17 16 21 1 #Up
18 17 22 1 #Up
19 19 23 1
20 20 24 1 #Up
21 21 25 1
22 23 26 1
23 23 27 1 #Down
24 26 28 1
25 26 29 1 #Up
26 27 30 1
27 28 31 2
28 30 32 2
29 30 33 1
30 31 34 1
31 34 35 1
32 35 36 1
33 36 37 1
34 37 38 1
35 38 39 1
36 39 40 1
37 40 41 1
38 41 42 1
39 42 43 1
40 43 44 1
41 44 45 1
42 45 46 1
43 8 10 1
44 17 20 1
45 22 47 1
46 1 2 1
47 47 48 1
48 1 3 1 #Down
49 47 49 2
50 1 4 1
51 47 50 2
|