| Entry |
|
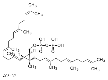
| Name |
|
| Formula |
C40H68O7P2
|
| Exact mass |
722.4440
|
| Mol weight |
722.91
|
| Structure |

|
| Reaction |
|
| Pathway |
| map01110 | Biosynthesis of secondary metabolites |
|
| Module |
| M00097 | Lycopene biosynthesis, geranylgeranyl-PP => lycopene |
|
| Enzyme |
|
| Brite |
Lipids [BR:br08002]
PR Prenol lipids
PR01 Isoprenoids
PR0107 C40 isoprenoids (tetraterpenes)
C03427 Prephytoene diphosphate
|
| Other DBs |
|
| LinkDB |
|
| KCF data |
ATOM 49
1 C1z C 19.4289 -24.5124
2 C1y C 18.2265 -23.7762
3 C1y C 19.4166 -23.0645
4 C1b C 20.6560 -23.8559
5 C1a C 19.4866 -25.9112
6 C2b C 16.9811 -24.4265
7 C1b C 19.3798 -21.8437
8 C1b C 21.8340 -24.6044
9 C2c C 15.8031 -23.6903
10 O2b O 20.5640 -21.0952
11 C2b C 23.0671 -23.9418
12 C1b C 14.5700 -24.3468
13 C1a C 14.5823 -22.9848
14 P1b P 21.9628 -21.0889
15 C2c C 24.2572 -24.6841
16 C1b C 13.3614 -23.6043
17 O2c O 23.3676 -21.0889
18 O1c O 21.9628 -19.6964
19 O1c O 21.9628 -22.4939
20 C1b C 25.4903 -24.0215
21 C1a C 24.2326 -26.1136
22 C2b C 13.3491 -22.2118
23 P1b P 24.7603 -21.0889
24 C1b C 26.6866 -24.7640
25 C2c C 14.5700 -21.5001
26 O1c O 24.7603 -19.6964
27 O1c O 26.1651 -21.0889
28 O1c O 24.7603 -22.4939
29 C2b C 27.9260 -24.1075
30 C1b C 14.5577 -20.1013
31 C1a C 15.6252 -21.9970
32 C2c C 29.1162 -24.8497
33 C1b C 15.7602 -19.3957
34 C1b C 30.3494 -24.1872
35 C1a C 29.1162 -26.3284
36 C2b C 15.7602 -17.9969
37 C1b C 31.5272 -24.9296
38 C2c C 16.9688 -17.2853
39 C2b C 32.7665 -24.2731
40 C1b C 16.9811 -15.9970
41 C1a C 18.3368 -18.0092
42 C2c C 33.9506 -25.0154
43 C1b C 18.3246 -15.2117
44 C1a C 35.1899 -24.3528
45 C1a C 33.9751 -26.4387
46 C2b C 18.3368 -13.8251
47 C2c C 19.5516 -13.1135
48 C1a C 19.5639 -11.7367
49 C1a C 20.8953 -13.8129
BOND 49
1 1 2 1
2 1 3 1
3 1 4 1 #Down
4 1 5 1 #Up
5 2 6 1 #Down
6 3 7 1 #Up
7 4 8 1
8 6 9 2
9 7 10 1
10 8 11 1
11 9 12 1
12 9 13 1
13 10 14 1
14 11 15 2
15 12 16 1
16 14 17 1
17 14 18 1
18 14 19 2
19 15 20 1
20 15 21 1
21 16 22 1
22 17 23 1
23 20 24 1
24 22 25 2
25 23 26 1
26 23 27 1
27 23 28 2
28 24 29 1
29 25 30 1
30 25 31 1
31 29 32 2
32 30 33 1
33 32 34 1
34 32 35 1
35 33 36 1
36 34 37 1
37 36 38 2
38 37 39 1
39 38 40 1
40 38 41 1
41 39 42 2
42 40 43 1
43 42 44 1
44 42 45 1
45 43 46 1
46 46 47 2
47 47 48 1
48 47 49 1
49 2 3 1
|