Entry |
|
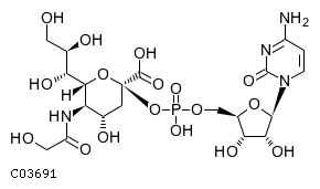
Name |
CMP-N-glycoloylneuraminate;
CMP-N-glycolylneuraminate;
CMP-Neu5Gc
|
Formula |
C20H31N4O17P
|
Exact mass |
630.1422
|
Mol weight |
630.45
|
Structure |

|
Reaction |
|
Pathway |
map00541 | Biosynthesis of various nucleotide sugars |
map01250 | Biosynthesis of nucleotide sugars |
|
Module |
M00955 | CMP-Neu5Ac/Neu5Gc biosynthesis, animals, UDP-GlcNAc => CMP-Neu5Ac => CMP-Neu5Gc |
|
Enzyme |
|
Brite |
Nucleotide sugars [br08020.html]
Monosaccharides vs nucleotides
C03691
|
Other DBs |
|
LinkDB |
|
KCF data |
ATOM 42
1 C1z C 15.6017 -14.7193
2 O2x O 14.4467 -14.0505
3 C1x C 15.6017 -16.0483
4 O2b O 17.7212 -16.3121
5 C6a C 16.7432 -14.0505
6 C1y C 13.2935 -14.7193
7 C1y C 14.4467 -16.7344
8 P1b P 19.0574 -16.3121
9 O6a O 16.7372 -12.7274
10 O6a O 17.8852 -14.7193
11 C1y C 13.2935 -16.0483
12 O1a O 14.4526 -18.0519
13 O2b O 20.3749 -16.3121
14 O1c O 19.0574 -17.6367
15 O1c O 19.0574 -14.9820
16 C1b C 21.7053 -16.3121
17 C1y C 22.9645 -16.7053
18 O2x O 24.0367 -15.9250
19 C1y C 23.3866 -17.9647
20 C1y C 25.1261 -16.7227
21 C1y C 24.7344 -17.9647
22 O1a O 22.6250 -18.9726
23 N4y N 25.9704 -14.5017
24 O1a O 25.5133 -18.9609
25 C8y C 24.8098 -13.8285
26 C8x C 27.1298 -13.8518
27 N5x N 24.7458 -12.4983
28 O5x O 23.6680 -14.4841
29 C8x C 27.1298 -12.5041
30 C8y C 25.9762 -11.8307
31 N1a N 25.9762 -10.5062
32 C1c C 12.0815 -13.9986
33 C1c C 12.0864 -12.6066
34 C1b C 10.8834 -11.9066
35 O1a O 10.8182 -10.5146
36 N1b N 12.0785 -16.7392
37 O1a O 13.2846 -11.9149
38 O1a O 10.8661 -14.6871
39 C5a C 12.0782 -18.1322
40 O5a O 13.2846 -18.8282
41 C1b C 10.8728 -18.8282
42 O1a O 9.6383 -18.1155
BOND 44
1 1 2 1
2 1 3 1
3 1 4 1 #Up
4 1 5 1 #Down
5 2 6 1
6 3 7 1
7 4 8 1
8 5 9 1
9 5 10 2
10 6 11 1
11 7 12 1 #Down
12 8 13 1
13 8 14 1
14 8 15 2
15 13 16 1
16 17 16 1 #Up
17 17 18 1
18 17 19 1
19 18 20 1
20 19 21 1
21 19 22 1 #Down
22 20 23 1 #Up
23 21 24 1 #Down
24 23 25 1
25 23 26 1
26 25 27 1
27 25 28 2
28 26 29 2
29 27 30 2
30 30 31 1
31 7 11 1
32 20 21 1
33 29 30 1
34 6 32 1
35 32 33 1
36 33 34 1
37 34 35 1
38 11 36 1 #Up
39 33 37 1 #Up
40 32 38 1 #Down
41 36 39 1
42 39 40 2
43 39 41 1
44 41 42 1
|