KEGG   COMPOUND: C03802
Entry
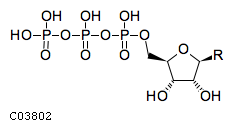
C03802                      Compound                               
Name
Ribonucleoside triphosphate;
Ribonucleoside 5'-triphosphate
Formula
C5H12O13P3R
Structure
Comment
Generic compound in reaction hierarchy
Reaction
Enzyme
1.1.98.6        1.17.4.2
Other DBs
PubChem: 6551
LinkDB
KCF data

ATOM        22
            1   C1y C    28.9264  -16.1655
            2   C1y C    29.3355  -17.4860
            3   C1b C    27.6060  -15.7331
            4   O2x O    30.0309  -15.3591
            5   C1y C    30.7319  -17.4860
            6   O1a O    28.5291  -18.6079
            7   O2b O    27.3255  -14.3718
            8   C1y C    31.1585  -16.1655
            9   O1a O    31.5442  -18.6079
            10  P1b P    25.9349  -14.3718
            11  O2c O    24.5619  -14.3718
            12  O1c O    25.9349  -12.9929
            13  O1c O    25.9292  -15.7565
            14  P1b P    23.1771  -14.3718
            15  O2c O    21.7981  -14.3718
            16  O1c O    23.1771  -12.9929
            17  O1c O    23.1713  -15.7565
            18  P1b P    20.4075  -14.3718
            19  O1c O    19.0286  -14.3718
            20  O1c O    20.4075  -12.9929
            21  O1c O    20.4018  -15.7565
            22  R   R    32.4790  -15.7298
BOND        22
            1     1   2 1
            2     1   3 1 #Up
            3     1   4 1
            4     2   5 1
            5     2   6 1 #Down
            6     3   7 1
            7     4   8 1
            8     5   9 1 #Down
            9     7  10 1
            10   10  11 1
            11   10  12 1
            12   10  13 2
            13   11  14 1
            14   14  15 1
            15   14  16 1
            16   14  17 2
            17   15  18 1
            18   18  19 1
            19   18  20 1
            20   18  21 2
            21    5   8 1
            22    8  22 1 #Up

» Japanese version

DBGET integrated database retrieval system