KEGG   COMPOUND: C04021
Entry
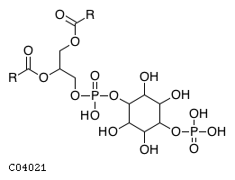
C04021                      Compound                               
Name
Phosphatidylinositol phosphate;
1,2-Diacyl-sn-glycero-3-phospho-(1'-inositol-4'-phosphate)
Formula
C11H18O16P2R2
Structure
Brite
Lipids [BR:br08002]
 GP  Glycerophospholipids
  GP07 Glycerophosphoinositol monophosphates
   GP0701 Diacylglycerophosphoinositol monophosphates
    C04021  1,2-Diacyl-sn-glycero-3-phospho-(1'-inositol-4'-phosphate)
Other DBs
PubChem: 6727
LinkDB
KCF data

ATOM        31
            1   C1y C    30.9848  -23.9730
            2   C1y C    32.1928  -23.2747
            3   C1y C    30.9848  -25.3797
            4   O2b O    29.7899  -23.2806
            5   C1y C    33.4171  -23.9730
            6   O1a O    32.1928  -21.8680
            7   C1y C    32.1928  -26.1071
            8   O1a O    29.7782  -26.0765
            9   P1b P    28.3719  -23.2838
            10  C1y C    33.4171  -25.3797
            11  O1a O    34.6251  -23.2689
            12  O1a O    32.1928  -27.5022
            13  O2b O    26.8080  -23.2797
            14  O1c O    28.3210  -24.8782
            15  O1c O    28.3199  -21.7543
            16  O2b O    34.6309  -26.0825
            17  C1b C    26.8080  -21.8976
            18  P1b P    36.0260  -26.0765
            19  C1c C    25.6069  -21.1877
            20  O1c O    37.4270  -26.0765
            21  O1c O    36.0260  -24.6815
            22  O1c O    36.0260  -27.4717
            23  C1b C    25.6069  -19.7927
            24  O7a O    24.3931  -21.8976
            25  O7a O    26.8080  -19.0886
            26  C7a C    23.1863  -21.1877
            27  C7a C    26.8080  -17.7007
            28  O6a O    23.1863  -19.7927
            29  R   R    21.9726  -21.8976
            30  O6a O    25.6069  -17.0025
            31  R   R    28.0219  -17.0025
BOND        31
            1     1   2 1
            2     1   3 1
            3     1   4 1
            4     2   5 1
            5     2   6 1
            6     3   7 1
            7     3   8 1
            8     4   9 1
            9     5  10 1
            10    5  11 1
            11    7  12 1
            12    9  13 1
            13    9  14 1
            14    9  15 2
            15   10  16 1
            16   13  17 1
            17   16  18 1
            18   17  19 1
            19   18  20 1
            20   18  21 1
            21   18  22 2
            22   19  23 1
            23   19  24 1
            24   23  25 1
            25   24  26 1
            26   25  27 1
            27   26  28 2
            28   26  29 1
            29   27  30 2
            30   27  31 1
            31    7  10 1

» Japanese version

DBGET integrated database retrieval system