KEGG   COMPOUND: C04507
Entry
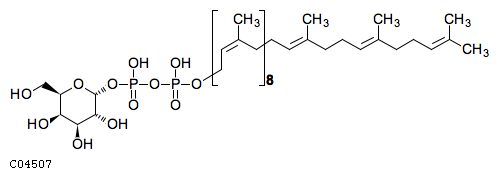
C04507                      Compound                               
Name
alpha-D-Galactosyl-diphosphoundecaprenol
Formula
C61H102O12P2
Exact mass
1088.6847
Mol weight
1089.40
Structure
Reaction
Enzyme
2.4.1.-         2.7.8.6
Brite
Lipids [BR:br08002]
 PR  Prenol lipids
  PR03 Polyprenols
   PR0303 Bactoprenol diphosphates
    C04507  alpha-D-Galactosyl-diphosphoundecaprenol
Other DBs
PubChem: 7121
LIPIDMAPS: LMPR03030010
NIKKAJI: J2.751.524J
LinkDB
KCF data

ATOM        75
            1   C1b C    39.1300  -19.7400
            2   C1b C    38.0800  -20.4400
            3   C2c C    36.8200  -19.7400
            4   C1a C    36.8200  -18.3400
            5   C1b C    35.6300  -21.8400
            6   C2b C    35.6300  -20.4400
            7   O2b O    33.8800  -22.8900
            8   C1a C    52.8500  -20.4400
            9   C2c C    51.5900  -19.7400
            10  C2b C    50.3300  -20.4400
            11  C1a C    51.5900  -18.3400
            12  C1b C    49.0700  -19.7400
            13  C1b C    47.8800  -20.4400
            14  C2c C    46.6200  -19.7400
            15  C2b C    45.3600  -20.4400
            16  C1a C    46.6200  -18.3400
            17  C1b C    44.1000  -19.7400
            18  C1b C    42.9100  -20.4400
            19  C2c C    41.6500  -19.7400
            20  C2b C    40.3900  -20.4400
            21  C1a C    41.6500  -18.3400
            22  P1b P    32.4100  -22.8900
            23  O2c O    30.9400  -22.8900
            24  O1c O    32.4100  -21.4200
            25  O1c O    32.4100  -24.3600
            26  P1b P    29.4700  -22.8900
            27  O2b O    28.0000  -22.8900
            28  O1c O    29.4700  -21.4200
            29  O1c O    29.4700  -24.3600
            30  C1y C    26.7876  -23.5900
            31  O2x O    25.5921  -22.8996
            32  C1y C    24.3796  -23.5995
            33  C1y C    24.3794  -24.9995
            34  C1y C    25.5749  -25.6899
            35  C1y C    26.7874  -24.9900
            36  C1b C    23.1671  -22.8995
            37  O1a O    25.5749  -27.0899
            38  O1a O    23.1670  -25.6995
            39  O1a O    27.9998  -25.6900
            40  O1a O    21.9547  -23.5995
            41  C1b C    38.0800  -20.4400
            42  C2c C    36.8200  -19.7400
            43  C1a C    36.8200  -18.3400
            44  C1b C    35.6300  -21.8400
            45  C2b C    35.6300  -20.4400
            46  C1b C    38.0800  -20.4400
            47  C2c C    36.8200  -19.7400
            48  C1a C    36.8200  -18.3400
            49  C1b C    35.6300  -21.8400
            50  C2b C    35.6300  -20.4400
            51  C1b C    38.0800  -20.4400
            52  C2c C    36.8200  -19.7400
            53  C1a C    36.8200  -18.3400
            54  C1b C    35.6300  -21.8400
            55  C2b C    35.6300  -20.4400
            56  C1b C    38.0800  -20.4400
            57  C2c C    36.8200  -19.7400
            58  C1a C    36.8200  -18.3400
            59  C1b C    35.6300  -21.8400
            60  C2b C    35.6300  -20.4400
            61  C1b C    38.0800  -20.4400
            62  C2c C    36.8200  -19.7400
            63  C1a C    36.8200  -18.3400
            64  C1b C    35.6300  -21.8400
            65  C2b C    35.6300  -20.4400
            66  C1b C    38.0800  -20.4400
            67  C2c C    36.8200  -19.7400
            68  C1a C    36.8200  -18.3400
            69  C1b C    35.6300  -21.8400
            70  C2b C    35.6300  -20.4400
            71  C1b C    38.0800  -20.4400
            72  C2c C    36.8200  -19.7400
            73  C1a C    36.8200  -18.3400
            74  C1b C    35.6300  -21.8400
            75  C2b C    35.6300  -20.4400
BOND        75
            1    12  13 1
            2    13  14 1
            3    14  15 2
            4    14  16 1
            5    15  17 1
            6    10  12 1
            7     8   9 1
            8     9  10 2
            9    17  18 1
            10   18  19 1
            11   19  20 2
            12   19  21 1
            13   20   1 1
            14    9  11 1
            15    7  22 1
            16   22  23 1
            17   22  24 1
            18   22  25 2
            19   23  26 1
            20   26  27 1
            21   26  28 1
            22   26  29 2
            23   30  27 1 #Down
            24   30  31 1
            25   31  32 1
            26   32  33 1
            27   33  34 1
            28   34  35 1
            29   30  35 1
            30   32  36 1 #Up
            31   34  37 1 #Up
            32   33  38 1 #Up
            33   35  39 1 #Down
            34   36  40 1
            35    1   2 1
            36    3   4 1
            37    3   2 1
            38    5   6 1
            39    6   3 2
            40    5  41 1
            41   42  43 1
            42   42  41 1
            43   44  45 1
            44   45  42 2
            45   44  46 1
            46   47  48 1
            47   47  46 1
            48   49  50 1
            49   50  47 2
            50   49  51 1
            51   52  53 1
            52   52  51 1
            53   54  55 1
            54   55  52 2
            55   54  56 1
            56   57  58 1
            57   57  56 1
            58   59  60 1
            59   60  57 2
            60   59  61 1
            61   62  63 1
            62   62  61 1
            63   64  65 1
            64   65  62 2
            65   64  66 1
            66   67  68 1
            67   67  66 1
            68   69  70 1
            69   70  67 2
            70   69  71 1
            71   72  73 1
            72   72  71 1
            73   74  75 1
            74   75  72 2
            75   74   7 1
BRACKET     1    35.3500  -22.9600   35.3500  -17.7100
            1    38.2900  -17.7100   38.2900  -22.9600
            1  8
 ORIGINAL  1    2   3   4   5   6
 REPEAT    1   41  42  43  44  45  46  47  48  49  50  51  52  53  54  55  56
            1   57  58  59  60  61  62  63  64  65  66  67  68  69  70  71  72
            1   73  74  75

» Japanese version

DBGET integrated database retrieval system