KEGG   COMPOUND: C04655
Entry
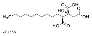
C04655                      Compound                               
Name
(2S,3S)-2-Hydroxytridecane-1,2,3-tricarboxylate;
(2S,3S)-2-Hydroxytridecane-1,2,3-tricarboxylic acid
Formula
C16H28O7
Exact mass
332.1835
Mol weight
332.39
Structure
Reaction
Enzyme
Brite
Lipids [BR:br08002]
 FA  Fatty acyls
  FA01 Fatty Acids and Conjugates
   FA0117 Dicarboxylic acids
    C04655  (2S,3S)-2-Hydroxytridecane-1,2,3-tricarboxylic acid
Other DBs
PubChem: 7241
ChEBI: 15608
LIPIDMAPS: LMFA01170074
NIKKAJI: J2.752.735C
LinkDB
KCF data

ATOM        23
            1   C1d C    33.4354  -15.8604
            2   C1c C    32.2299  -16.5614
            3   C1b C    34.6482  -16.5614
            4   C6a C    33.4354  -14.4639
            5   O1a O    32.2182  -15.1534
            6   C1b C    31.0111  -15.8604
            7   C6a C    32.2299  -17.9579
            8   C6a C    35.8666  -15.8604
            9   O6a O    34.6541  -13.7686
            10  O6a O    32.2239  -13.7686
            11  C1b C    29.8055  -16.5614
            12  O6a O    31.0111  -18.6591
            13  O6a O    33.4354  -18.6591
            14  O6a O    37.0723  -16.5674
            15  O6a O    35.8539  -14.6039
            16  C1b C    28.5871  -15.8604
            17  C1b C    27.3743  -16.5614
            18  C1b C    26.1687  -15.8604
            19  C1b C    24.9500  -16.5614
            20  C1b C    23.7445  -15.8604
            21  C1b C    22.5319  -16.5614
            22  C1b C    21.3133  -15.8604
            23  C1a C    20.1076  -16.5614
BOND        22
            1     1   2 1
            2     1   3 1
            3     1   4 1 #Down
            4     1   5 1 #Up
            5     2   6 1
            6     2   7 1 #Up
            7     3   8 1
            8     4   9 1
            9     4  10 2
            10    6  11 1
            11    7  12 1
            12    7  13 2
            13    8  14 1
            14    8  15 2
            15   11  16 1
            16   16  17 1
            17   17  18 1
            18   18  19 1
            19   19  20 1
            20   20  21 1
            21   21  22 1
            22   22  23 1

» Japanese version

DBGET integrated database retrieval system