KEGG   COMPOUND: C04789
Entry
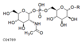
C04789                      Compound                               
Name
Lysosomal-enzyme N-acetyl-D-glucosaminyl-phospho-D-mannose
Formula
C14H25NO14PR
Structure
Comment
Generic compound in reaction hierarchy
Reaction
Enzyme
Other DBs
PubChem: 7352
LinkDB
KCF data

ATOM        31
            1   C1y C    19.7104  -18.7819
            2   C1y C    19.7104  -20.1752
            3   O2x O    18.5073  -18.0918
            4   O2b O    20.9008  -18.0918
            5   C1y C    18.5073  -20.8779
            6   N1b N    21.3886  -21.1583
            7   C1y C    17.3105  -18.7819
            8   P1b P    22.2750  -18.0854
            9   C1y C    17.3105  -20.1752
            10  O1a O    18.5009  -22.1882
            11  C5a C    21.3886  -22.5325
            12  C1b C    16.1200  -18.0918
            13  O2b O    23.6553  -18.0854
            14  O1c O    22.2750  -16.7114
            15  O1c O    22.2750  -19.4659
            16  O1a O    16.1136  -20.8590
            17  C1a C    20.3383  -23.2227
            18  O5a O    22.5853  -23.2163
            19  O1a O    14.9232  -18.7819
            20  C1b C    24.9915  -17.2939
            21  C1y C    26.1882  -17.9778
            22  C1y C    26.1882  -19.3708
            23  O2x O    27.3788  -17.2939
            24  C1y C    27.3788  -20.0738
            25  O1a O    24.9915  -20.0547
            26  C1y C    28.5882  -17.9778
            27  C1y C    28.5882  -19.3708
            28  O1a O    27.3788  -21.4542
            29  O2a O    29.7787  -17.2874
            30  O1a O    29.7852  -20.0611
            31  R   R    31.1787  -17.2874
BOND        32
            1     1   2 1
            2     1   3 1
            3     1   4 1 #Down
            4     2   5 1
            5     2   6 1 #Down
            6     3   7 1
            7     4   8 1
            8     5   9 1
            9     5  10 1 #Up
            10    6  11 1
            11    7  12 1 #Up
            12    8  13 1
            13    8  14 1
            14    8  15 2
            15    9  16 1 #Down
            16   11  17 1
            17   11  18 2
            18   12  19 1
            19   13  20 1
            20   21  20 1 #Up
            21   21  22 1
            22   21  23 1
            23   22  24 1
            24   22  25 1 #Down
            25   23  26 1
            26   24  27 1
            27   24  28 1 #Up
            28   26  29 1 #Down
            29   27  30 1 #Up
            30    7   9 1
            31   26  27 1
            32   29  31 1

» Japanese version

DBGET integrated database retrieval system