KEGG   COMPOUND: C04939
Entry
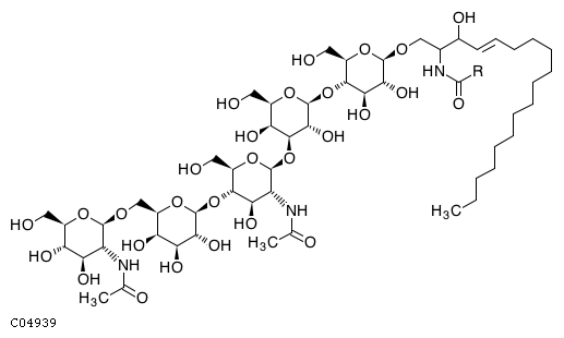
C04939                      Compound                               
Name
N-Acetyl-D-glucosaminyl-1,6-beta-D-galactosyl-1,4-N-acetyl-beta-D-glucosaminyl-1,3-beta-D-galactosyl-1,4-beta-D-glucosylceramide
Formula
C53H92N3O28R
Structure
Remark
Same as: G00174
Comment
Generic compound in reaction hierarchy
Reaction
Enzyme
Brite
Lipids [BR:br08002]
 SP  Sphingolipids
  SP05 Neutral glycosphingolipids
   SP0505 Galbeta1-4GlcNAcbeta1-3Galbeta1-4Glc- (Neolacto series)
    G00174  GlcNAc-beta1->6Gal-beta1->4GlcNAc-beta1->3Gal-beta1->4Glc-beta1->1'Cer
Other DBs
PubChem: 7481
LinkDB
KCF data

ATOM        85
            1   C1y C    26.3777  -19.7382
            2   C1y C    26.3777  -21.1325
            3   O2a O    27.5716  -19.0455
            4   O2x O    25.1656  -19.0455
            5   C1y C    25.1656  -21.8435
            6   N1b N    27.6902  -22.3813
            7   C1y C    27.5808  -17.6600
            8   C1y C    23.9624  -19.7382
            9   C1y C    23.9624  -21.1325
            10  O1a O    25.1563  -23.2287
            11  C5a C    27.6992  -23.7666
            12  C1y C    28.7929  -16.9493
            13  C1y C    26.3777  -16.9493
            14  C1b C    22.7593  -19.0455
            15  O2a O    22.7593  -21.8252
            16  C1a C    26.4961  -24.4593
            17  O5a O    28.9023  -24.4501
            18  C1y C    28.7929  -15.5455
            19  O1a O    29.9961  -17.6418
            20  C1y C    26.3777  -15.5455
            21  O1a O    25.1745  -17.6328
            22  C1y C    21.5564  -22.5180
            23  O2a O    29.9961  -14.8530
            24  O2x O    27.5808  -14.8530
            25  C1b C    25.1745  -14.8530
            26  O2x O    20.3440  -21.8252
            27  C1y C    21.5564  -23.9215
            28  C1y C    31.1989  -14.1603
            29  C1y C    19.1412  -22.5180
            30  C1y C    20.3440  -24.6325
            31  O1a O    22.7593  -24.6142
            32  C1y C    31.1989  -12.7568
            33  C1y C    32.4021  -14.8713
            34  C1b C    17.9380  -21.8252
            35  C1y C    19.1412  -23.9215
            36  O1a O    20.3350  -26.0177
            37  O2x O    32.4021  -12.0640
            38  C1b C    29.9961  -12.0640
            39  C1y C    33.6142  -14.1603
            40  O1a O    32.3931  -16.2565
            41  O2a O    16.7896  -22.5909
            42  O1a O    17.9380  -24.6142
            43  C1y C    33.6142  -12.7568
            44  O1a O    34.8173  -14.8530
            45  C1y C    15.5865  -23.2834
            46  O2a O    34.8083  -12.0551
            47  C1y C    15.5865  -24.6872
            48  O2x O    14.3744  -22.5909
            49  C1b C    36.0112  -11.3623
            50  C1y C    14.3744  -25.3979
            51  N1b N    16.9080  -25.9265
            52  C1y C    13.1715  -23.2834
            53  C1c C    37.2143  -12.0551
            54  C1y C    13.1715  -24.6872
            55  O1a O    14.3744  -26.7834
            56  C5a C    16.9080  -27.3210
            57  C1b C    11.9773  -22.5909
            58  C1c C    38.4175  -11.3623
            59  N1b N    37.2143  -13.4493
            60  O1a O    11.9684  -25.3707
            61  C1a C    15.7052  -28.0045
            62  O5a O    18.1112  -28.0045
            63  C2b C    39.6206  -12.0551
            64  O1a O    38.4175   -9.9768
            65  C2b C    40.8235  -11.3623
            66  C1b C    42.0176  -12.0551
            67  C1b C    43.2205  -11.3623
            68  C1b C    44.4144  -12.0640
            69  C1b C    44.3964  -13.4493
            70  C1b C    43.1933  -14.1238
            71  C1b C    43.1750  -15.5093
            72  C1b C    41.9629  -16.1836
            73  C1b C    41.9536  -17.5781
            74  C1b C    40.7415  -18.2526
            75  C1b C    40.7233  -19.6378
            76  C1b C    39.5202  -20.3123
            77  C1b C    39.5719  -21.6976
            78  C1a C    38.2898  -22.3813
            79  O1a O    10.7498  -23.2964
            80  O1a O    21.5431  -19.7496
            81  O1a O    23.9878  -15.5404
            82  O1a O    28.8202  -12.7445
            83  C5a C    38.4524  -14.1400
            84  R   R    39.6649  -13.4400
            85  O5a O    38.4627  -15.5396
BOND        89
            1     1   2 1
            2     1   3 1 #Up
            3     1   4 1
            4     2   5 1
            5     2   6 1 #Down
            6     7   3 1 #Up
            7     4   8 1
            8     5   9 1
            9     5  10 1 #Up
            10    6  11 1
            11    7  12 1
            12    7  13 1
            13    8  14 1 #Up
            14    9  15 1 #Down
            15   11  16 1
            16   11  17 2
            17   12  18 1
            18   12  19 1 #Down
            19   13  20 1
            20   13  21 1 #Up
            21   22  15 1 #Up
            22   18  23 1 #Up
            23   18  24 1
            24   20  25 1 #Up
            25   22  26 1
            26   22  27 1
            27   28  23 1 #Down
            28   26  29 1
            29   27  30 1
            30   27  31 1 #Down
            31   28  32 1
            32   28  33 1
            33   29  34 1 #Up
            34   29  35 1
            35   30  36 1 #Up
            36   32  37 1
            37   32  38 1 #Up
            38   33  39 1
            39   33  40 1 #Up
            40   34  41 1
            41   35  42 1 #Up
            42   37  43 1
            43   39  44 1 #Down
            44   45  41 1 #Up
            45   43  46 1 #Up
            46   45  47 1
            47   45  48 1
            48   46  49 1
            49   47  50 1
            50   47  51 1 #Down
            51   48  52 1
            52   49  53 1
            53   50  54 1
            54   50  55 1 #Up
            55   51  56 1
            56   52  57 1 #Up
            57   53  58 1
            58   53  59 1
            59   54  60 1 #Down
            60   56  61 1
            61   56  62 2
            62   58  63 1
            63   58  64 1
            64   63  65 2
            65   65  66 1
            66   66  67 1
            67   67  68 1
            68   68  69 1
            69   69  70 1
            70   70  71 1
            71   71  72 1
            72   72  73 1
            73   73  74 1
            74   74  75 1
            75   75  76 1
            76   76  77 1
            77   77  78 1
            78    8   9 1
            79   20  24 1
            80   30  35 1
            81   39  43 1
            82   52  54 1
            83   57  79 1
            84   14  80 1
            85   25  81 1
            86   38  82 1
            87   59  83 1
            88   83  84 1
            89   83  85 2

» Japanese version

DBGET integrated database retrieval system