| Entry |
|
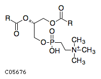
| Name |
Diacylglyceryl-N-trimethyl-2-aminoethylphosphonate;
Diacylglyceryl-2-trimethylaminoethylphosphonate;
Diacylglycerophosphonocholine
|
| Formula |
C10H19NO7PR2
|
| Structure |

|
| Comment |
Generic compound in reaction hierarchy
|
| Reaction |
|
| Pathway |
| map00440 | Phosphonate and phosphinate metabolism |
|
| Enzyme |
|
| Brite |
Lipids [BR:br08002]
GP Glycerophospholipids
GP16 Glycerophosphonocholines
GP1601 Diacylglycerophosphonocholines
C05676 Diacylglycerophosphonocholine
|
| Other DBs |
|
| LinkDB |
|
| KCF data |
ATOM 21
1 P1b P 19.4828 -17.2794
2 C1b C 20.7009 -17.2913
3 O2b O 18.2648 -17.2794
4 O1c O 19.4828 -18.4915
5 O1c O 19.4828 -15.7646
6 C1b C 21.2952 -18.3488
7 C1b C 17.0348 -16.5664
8 N1d N 22.5072 -18.3667 #+
9 C1c C 17.0348 -14.6476
10 O7a O 15.8050 -13.9346
11 C1b C 18.2648 -13.9346
12 C7a C 14.5750 -14.6476
13 O7a O 19.5007 -14.6476
14 O6a O 14.5750 -16.0678
15 R R 13.3452 -13.9346
16 C7a C 20.7307 -13.9346
17 O6a O 20.7307 -12.5146
18 R R 21.9607 -14.6476
19 C1a C 23.9319 -18.3667
20 C1a C 22.5072 -16.9420
21 C1a C 22.5072 -19.7915
BOND 20
1 1 2 1
2 1 3 1
3 1 4 1
4 1 5 2
5 2 6 1
6 3 7 1
7 6 8 1
8 7 9 1
9 9 10 1 #Down
10 9 11 1
11 10 12 1
12 11 13 1
13 12 14 2
14 12 15 1
15 13 16 1
16 16 17 2
17 16 18 1
18 8 19 1
19 8 20 1
20 8 21 1
|