KEGG   COMPOUND: C05798
Entry
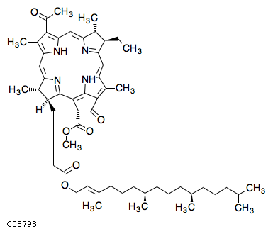
C05798                      Compound                               
Name
Bacteriopheophytin;
Bacteriopheophytin a
Formula
C55H76N4O6
Exact mass
888.5765
Mol weight
889.21
Structure
Reaction
Pathway
map00860  Porphyrin metabolism
Other DBs
CAS: 17453-58-6
PubChem: 8093
ChEBI: 2978
PDB-CCD: BPH[PDBj]
J-GLOBAL: J679.042I
LinkDB
KCF data

ATOM        65
            1   C1b C    17.1959  -24.4088
            2   C1b C    18.3482  -23.7657
            3   C1c C    19.4934  -24.4443
            4   C1b C    20.6457  -23.7938
            5   C1b C    21.7837  -24.4725
            6   C1b C    22.9360  -23.8293
            7   C1c C    24.0812  -24.5008
            8   C1b C    25.2333  -23.8575
            9   C1b C    26.3715  -24.5361
            10  C1b C    27.5237  -23.8929
            11  C1c C    28.6689  -24.5644
            12  C1a C    28.7258  -25.8920
            13  C1a C    29.8271  -23.9155
            14  C1a C    24.0671  -25.8283
            15  C1a C    19.4793  -25.7718
            16  C1b C    16.0719  -23.7445
            17  C2c C    14.9267  -24.3807
            18  C2b C    13.8028  -23.7090
            19  C1b C    12.6576  -24.3452
            20  C1a C    14.9110  -25.6925
            21  O7a O    11.5301  -23.6786
            22  C7a C    11.5547  -22.3687
            23  O6a O    12.6927  -21.7325
            24  C1b C    10.4271  -21.6950
            25  C8y C    13.5037  -14.5802
            26  C8y C    12.2908  -15.0964
            27  N4x N    13.5985  -13.2547
            28  C8y C    14.7992  -15.0730
            29  C8y C    11.0486  -14.5976
            30  C1y C    12.8551  -16.3327
            31  C8y C    14.8887  -12.9457
            32  C8y C    15.5899  -14.0626
            33  C5x C    14.1570  -16.3327
            34  C1y C     9.8720  -15.1925
            35  N5x N    10.8474  -13.2840
            36  C8x C    15.3641  -11.7561
            37  N4x N    10.7452  -10.4367
            38  C1a C    16.9212  -14.0626
            39  O5x O    15.1400  -17.2468
            40  C1y C     8.9330  -14.2405
            41  C8y C     9.5453  -13.0697
            42  C8y C    14.8701  -10.5678
            43  C8y C    10.9186   -9.1302
            44  C8y C     9.4318  -10.6686
            45  C1a C     7.6019  -14.2288
            46  C8x C     9.0163  -11.8989
            47  C1y C    15.4707   -9.3736
            48  N5x N    13.5693  -10.3724
            49  C8y C     9.7175   -8.5588
            50  C8x C    12.1128   -8.4756
            51  C8y C     8.8020   -9.5165
            52  C1y C    14.5258   -8.4581
            53  C8y C    13.3491   -9.0704
            54  C5a C     9.7058   -7.2217
            55  C1a C     7.4707   -9.5165
            56  C1a C    14.5141   -7.1211
            57  C1a C    10.8596   -6.5397
            58  O5a O     8.5401   -6.5670
            59  C1b C    16.7901   -9.1471
            60  C1a C    17.6451  -10.1749
            61  C1b C    10.4380  -16.3220
            62  C7a C    12.8415  -17.6862
            63  O7a O    11.6666  -18.3442
            64  C1a C    11.7229  -19.6977
            65  O6a O    14.0026  -18.3749
BOND        70
            1    21  22 1
            2     5   6 1
            3    22  23 2
            4    11  12 1
            5    22  24 1
            6     1   2 1
            7    11  13 1
            8     6   7 1
            9     7  14 1 #Up
            10    3   4 1
            11    3  15 1 #Up
            12    7   8 1
            13    1  16 1
            14   25  26 2
            15   25  27 1
            16   25  28 1
            17   26  29 1
            18   26  30 1
            19   27  31 1
            20   28  32 2
            21   28  33 1
            22   29  34 1
            23   29  35 2
            24   31  36 2
            25   32  38 1
            26   33  39 2
            27   34  40 1
            28   35  41 1
            29   36  42 1
            30   37  43 1
            31   37  44 1
            32   40  45 1 #Down
            33   41  46 2
            34   42  47 1
            35   42  48 2
            36   43  49 2
            37   43  50 1
            38   44  51 2
            39   47  52 1
            40   48  53 1
            41   49  54 1
            42   51  55 1
            43   52  56 1 #Down
            44   30  33 1
            45   31  32 1
            46   40  41 1
            47   44  46 1
            48   49  51 1
            49   50  53 2
            50   52  53 1
            51   16  17 1
            52   54  57 1
            53    8   9 1
            54   54  58 2
            55   17  18 2
            56   47  59 1 #Up
            57    4   5 1
            58   59  60 1
            59   18  19 1
            60   34  61 1 #Up
            61   61  24 1
            62    9  10 1
            63   30  62 1 #Down
            64   17  20 1
            65   62  63 1
            66    2   3 1
            67   63  64 1
            68   19  21 1
            69   62  65 2
            70   10  11 1

» Japanese version

DBGET integrated database retrieval system