| Entry |
|
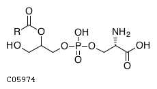
| Name |
2-Acyl-sn-glycero-3-phosphoserine;
2-Acyl-1-lyso-phosphatidylserine
|
| Formula |
C7H13NO9PR
|
| Structure |

|
| Comment |
Generic compound in reaction hierarchy
|
| Reaction |
|
| Pathway |
|
| Enzyme |
|
| Brite |
Lipids [BR:br08002]
GP Glycerophospholipids
GP03 Glycerophosphoserines
GP0305 Monoacylglycerophosphoserines
C05974 2-Acyl-sn-glycero-3-phosphoserine
|
| Other DBs |
|
| LinkDB |
|
| KCF data |
ATOM 19
1 O1c O 18.6437 -15.5136
2 P1b P 18.6373 -16.9204
3 O2b O 17.2303 -16.9204
4 O1c O 18.6308 -18.3211
5 O2b O 20.0444 -16.9204
6 C1b C 21.2588 -17.5903
7 C1c C 22.4724 -16.8897
8 C6a C 23.6859 -17.5903
9 O6a O 24.8993 -16.8897
10 N1a N 22.4724 -15.4887
11 O6a O 23.6859 -18.9915
12 C1b C 16.0295 -17.5903
13 C1c C 14.8160 -16.8897
14 C1b C 13.6025 -17.5903
15 O1a O 12.3891 -16.8897
16 O7a O 14.8160 -15.4887
17 C7a C 13.5837 -14.7771
18 R R 12.3776 -15.4733
19 O6a O 13.5840 -13.3867
BOND 18
1 1 2 1
2 2 3 1
3 2 4 2
4 2 5 1
5 5 6 1
6 6 7 1
7 7 8 1
8 8 9 1
9 7 10 1 #Down
10 8 11 2
11 3 12 1
12 12 13 1
13 13 14 1
14 14 15 1
15 13 16 1
16 16 17 1
17 17 18 1
18 17 19 2
|