KEGG   COMPOUND: C10819
Entry
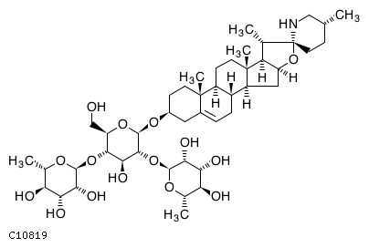
C10819                      Compound                               
Name
Solamargine
Formula
C45H73NO15
Exact mass
867.4980
Mol weight
868.06
Structure
Brite
Phytochemical compounds [BR:br08003]
 Alkaloids
  Alkaloids derived by amination reactions
   Steroid alkaloids
    C10819  Solamargine
Glycosides [BR:br08021]
 O-glycosides
  Glycoalkaloid
   C10819  Solamargine
Other DBs
CAS: 20311-51-7
PubChem: 13002
ChEBI: 9185
KNApSAcK: C00002260
NIKKAJI: J15.529B
LinkDB
KCF data

ATOM        61
            1   N1x N    34.9807  -10.7772
            2   C1z C    34.9807  -12.1674
            3   C1x C    36.1864  -12.8659
            4   C1x C    37.3850  -12.1674
            5   C1y C    37.3850  -10.7772
            6   C1x C    36.1864  -10.0858
            7   C1y C    32.6293  -13.5340
            8   C1y C    33.8136  -14.2266
            9   C1y C    32.6351  -12.1674
            10  C1x C    33.7785  -15.5232
            11  O2x O    34.9749  -13.5397
            12  C1a C    31.6539  -11.2058
            13  C1y C    31.4191  -15.5574
            14  C1z C    31.4191  -14.2027
            15  C1x C    25.4917  -16.2116
            16  C1y C    25.4917  -17.5806
            17  C1x C    26.6835  -18.2651
            18  C1x C    26.6835  -15.5273
            19  C1z C    27.8610  -16.2116
            20  C2y C    27.8549  -17.5806
            21  C2x C    29.0406  -18.2701
            22  C1x C    30.2254  -17.5909
            23  C1y C    29.0527  -15.5325
            24  C1y C    30.2255  -16.2250
            25  C1x C    30.2484  -13.4947
            26  C1x C    29.0640  -14.1673
            27  O2a O    24.2994  -18.3709
            28  C1a C    27.8485  -14.8428
            29  C1a C    31.4187  -12.8178
            30  C1a C    38.5884  -10.0866
            31  C1y C    18.3454  -21.9362
            32  C1y C    18.3409  -23.3062
            33  O2x O    17.1589  -21.2619
            34  C1y C    17.1617  -23.9878
            35  O1a O    19.5446  -24.0049
            36  C1y C    15.9609  -21.9281
            37  C1y C    15.9760  -23.3083
            38  O1a O    17.1602  -25.3631
            39  C1a C    14.7823  -21.2558
            40  O1a O    14.7803  -23.9848
            41  C1y C    25.4988  -21.9412
            42  C1y C    26.6783  -21.2675
            43  O2x O    25.4929  -23.3144
            44  C1y C    27.8673  -21.9517
            45  O1a O    26.6915  -19.8884
            46  C1y C    26.6685  -24.0061
            47  C1y C    27.8561  -23.3277
            48  O1a O    29.0494  -21.2833
            49  C1a C    26.6581  -25.3954
            50  O1a O    29.0339  -24.0115
            51  C1y C    23.1140  -19.2034
            52  C1y C    23.1119  -20.5617
            53  O2x O    21.9269  -18.5126
            54  C1y C    21.9313  -21.2558
            55  O2a O    24.3061  -21.2524
            56  C1y C    20.7528  -19.1958
            57  C1y C    20.7443  -20.5651
            58  O1a O    21.9291  -22.6140
            59  C1b C    19.5623  -18.5109
            60  O2a O    19.5645  -21.2584
            61  O1a O    19.5628  -17.1438
BOND        69
            1    20  21 2
            2    21  22 1
            3    22  24 1
            4    23  19 1
            5    14  29 1 #Up
            6     3   4 1
            7     5  30 1 #Down
            8     4   5 1
            9     5   6 1
            10    6   1 1
            11   14   7 1
            12    7   8 1
            13    7   9 1
            14   13  10 1
            15    8  11 1
            16    9   2 1
            17    9  12 1 #Down
            18    8  10 1
            19   11   2 1
            20    2   1 1 #Down
            21    2   3 1 #Up
            22   15  16 1
            23   23  24 1
            24   24  13 1
            25   14  25 1
            26   25  26 1
            27   26  23 1
            28   16  17 1
            29   17  20 1
            30   19  18 1
            31   14  13 1
            32   18  15 1
            33   16  27 1 #Up
            34   19  20 1
            35   19  28 1 #Up
            36   42  45 1 #Down
            37   43  46 1
            38   44  47 1
            39   44  48 1 #Down
            40   46  49 1 #Down
            41   47  50 1 #Up
            42   46  47 1
            43   36  37 1
            44   31  32 1
            45   31  33 1
            46   32  34 1
            47   32  35 1 #Down
            48   33  36 1
            49   34  37 1
            50   34  38 1 #Down
            51   36  39 1 #Down
            52   37  40 1 #Up
            53   51  52 1
            54   51  53 1
            55   52  54 1
            56   52  55 1 #Down
            57   53  56 1
            58   54  57 1
            59   54  58 1 #Up
            60   56  59 1 #Up
            61   57  60 1 #Down
            62   59  61 1
            63   56  57 1
            64   41  42 1
            65   41  43 1
            66   42  44 1
            67   51  27 1 #Up
            68   41  55 1 #Up
            69   31  60 1 #Up

» Japanese version

DBGET integrated database retrieval system