KEGG   COMPOUND: C12347
Entry
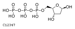
C12347                      Compound                               
Name
Deoxyribose triphosphate
Formula
C5H13O13P3
Exact mass
373.9569
Mol weight
374.07
Structure
Reaction
Enzyme
Other DBs
PubChem: 582737
NIKKAJI: J2.781.928A
LinkDB
KCF data

ATOM        21
            1   O1a O    33.8807  -16.5163
            2   C1y C    32.5820  -16.9394
            3   O2x O    31.4302  -16.0814
            4   C1x C    32.1413  -18.2086
            5   C1y C    30.3139  -16.8806
            6   C1y C    30.7486  -18.2086
            7   C1b C    28.9800  -16.4457
            8   O1a O    30.2962  -19.5366
            9   O2b O    27.9282  -17.3918
            10  P1b P    26.5179  -17.3918
            11  O2c O    25.1134  -17.3918
            12  O1c O    26.5120  -18.7963
            13  O1c O    26.5120  -15.9875
            14  P1b P    23.7091  -17.3860
            15  O2c O    22.3048  -17.3860
            16  O1c O    23.7033  -18.7904
            17  O1c O    23.7033  -15.9815
            18  P1b P    20.8945  -17.3801
            19  O1c O    20.8885  -18.7846
            20  O1c O    19.4900  -17.3683
            21  O1c O    20.8885  -15.9698
BOND        21
            1     2   1 1 #Up
            2     2   3 1
            3     2   4 1
            4     3   5 1
            5     4   6 1
            6     5   7 1 #Up
            7     6   8 1 #Down
            8     7   9 1
            9     9  10 1
            10   10  11 1
            11   10  12 1
            12   10  13 2
            13   11  14 1
            14   14  15 1
            15   14  16 1
            16   14  17 2
            17   15  18 1
            18   18  19 1
            19   18  20 1
            20   18  21 2
            21    5   6 1

» Japanese version

DBGET integrated database retrieval system