KEGG   COMPOUND: C13921
Entry
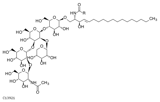
C13921                      Compound                               
Name
II2Xylbeta-Ml4Cer;
GlcNAc-beta1->2Man-alpha1->3(Xyl-beta1-2)Man-beta1->4Glc-beta1->1'Cer
Formula
C50H87N2O27R
Structure
Remark
Same as: G03045
Brite
Lipids [BR:br08002]
 SP  Sphingolipids
  SP05 Neutral glycosphingolipids
   SP0507 Manalpha1-3Manbeta1-4Glc- (Mollu series)
    G03045  GlcNAc-beta1->2Man-alpha1->3(Xyl-beta1-2)Man-beta1->4Glc-beta1->1'Cer
Other DBs
PubChem: 854165
LinkDB
KCF data

ATOM        80
            1   C1y C    19.9110  -19.3707
            2   C1y C    21.1054  -18.6816
            3   C1y C    18.7165  -18.6816
            4   O1a O    19.9110  -20.7488
            5   C1y C    21.1054  -17.3034
            6   O1a O    22.2997  -19.3707
            7   C1x C    18.7165  -17.3034
            8   O1a O    17.5222  -19.3707
            9   O2x O    19.9110  -16.6144
            10  O2a O    21.1054  -15.3281
            11  C1y C    24.0913  -10.2749
            12  O2x O    22.9429   -9.6318
            13  O2a O    25.5154   -9.6777
            14  C1y C    24.0913  -11.6990
            15  C1y C    21.7485  -10.2749
            16  C1b C    26.7558  -10.5505
            17  C1y C    22.9429  -12.3881
            18  O1a O    25.3317  -12.3881
            19  C1y C    21.7485  -11.6990
            20  C1b C    20.5081   -9.6318
            21  C1c C    27.9043   -9.9074
            22  O1a O    22.9429  -13.7662
            23  O2a O    20.5081  -12.3881
            24  O1a O    19.4976  -10.5046
            25  C1c C    29.0527  -10.5505
            26  N1b N    27.9043   -8.5752
            27  C2b C    30.2012   -9.9074
            28  O1a O    29.0527  -11.8828
            29  C5a C    29.0068   -7.8861
            30  C2b C    31.3496  -10.5505
            31  O5a O    29.0068   -6.5998
            32  R   R    30.2012   -8.5752
            33  C1b C    32.4980   -9.9074
            34  C1b C    33.6465  -10.5505
            35  C1b C    34.7950   -9.9074
            36  C1b C    35.9434  -10.5505
            37  C1b C    37.1379   -9.9074
            38  C1b C    38.2404  -10.5505
            39  C1b C    39.4348   -9.9074
            40  C1b C    40.5832  -10.5505
            41  C1b C    41.6858   -9.9074
            42  C1b C    42.8801  -10.5505
            43  C1b C    43.9827   -9.9074
            44  C1b C    45.1770  -10.5505
            45  C1a C    46.3255   -9.9074
            46  C1y C    17.0169  -13.0771
            47  C1y C    17.0169  -14.4093
            48  O2x O    18.1653  -12.3881
            49  C1b C    15.8224  -12.3881
            50  C1y C    18.1653  -15.0984
            51  O1a O    15.8224  -15.0984
            52  C1y C    19.3597  -13.0771
            53  O1a O    14.7659  -13.2149
            54  C1y C    19.3597  -14.4093
            55  O2a O    17.7060  -16.8900
            56  C1y C    13.7552  -17.9007
            57  C1y C    13.7552  -19.2788
            58  O2x O    14.9497  -17.2116
            59  C1b C    12.6068  -17.2116
            60  C1y C    14.9497  -19.9219
            61  O1a O    12.6068  -19.9219
            62  C1y C    16.1440  -17.9007
            63  O1a O    11.5502  -18.0844
            64  C1y C    16.1440  -19.2788
            65  O1a O    14.9497  -21.3001
            66  O2a O    17.1547  -21.1622
            67  C1y C    16.5575  -24.3780
            68  C1y C    15.4549  -25.0670
            69  C1y C    16.5575  -23.0458
            70  N1b N    17.5681  -25.3886
            71  C1y C    14.3065  -24.3780
            72  O1a O    15.4549  -26.3074
            73  O2x O    15.4549  -22.4026
            74  C5a C    18.9003  -26.0777
            75  C1y C    14.3065  -23.0458
            76  O1a O    13.2039  -25.0670
            77  C1a C    20.1407  -25.4345
            78  O5a O    18.9003  -27.6855
            79  C1b C    13.2039  -22.4026
            80  O1a O    12.1934  -23.2295
BOND        84
            1     1   2 1
            2     1   3 1
            3     1   4 1 #Up
            4     2   5 1
            5     2   6 1 #Down
            6     3   7 1
            7     3   8 1 #Down
            8     5   9 1
            9     5  10 1 #Up
            10    7   9 1
            11   11  12 1
            12   11  13 1 #Up
            13   11  14 1
            14   12  15 1
            15   13  16 1
            16   14  17 1
            17   14  18 1 #Down
            18   15  19 1
            19   15  20 1 #Up
            20   16  21 1
            21   17  22 1 #Up
            22   19  23 1 #Down
            23   20  24 1
            24   21  25 1
            25   21  26 1 #Down
            26   25  27 1
            27   25  28 1 #Up
            28   26  29 1
            29   27  30 2
            30   29  31 2
            31   29  32 1
            32   30  33 1
            33   33  34 1
            34   34  35 1
            35   35  36 1
            36   36  37 1
            37   37  38 1
            38   38  39 1
            39   39  40 1
            40   40  41 1
            41   41  42 1
            42   42  43 1
            43   43  44 1
            44   44  45 1
            45   17  19 1
            46   46  47 1
            47   46  48 1
            48   46  49 1 #Up
            49   47  50 1
            50   47  51 1 #Down
            51   48  52 1
            52   49  53 1
            53   50  54 1
            54   50  55 1 #Up
            55   52  23 1 #Up
            56   54  10 1 #Up
            57   52  54 1
            58   56  57 1
            59   56  58 1
            60   56  59 1 #Up
            61   57  60 1
            62   57  61 1 #Down
            63   58  62 1
            64   59  63 1
            65   60  64 1
            66   60  65 1 #Up
            67   62  55 1 #Down
            68   64  66 1 #Up
            69   62  64 1
            70   67  68 1
            71   67  69 1
            72   67  70 1 #Down
            73   68  71 1
            74   68  72 1 #Up
            75   69  73 1
            76   69  66 1 #Up
            77   70  74 1
            78   71  75 1
            79   71  76 1 #Down
            80   74  77 1
            81   74  78 2
            82   75  79 1 #Up
            83   79  80 1
            84   73  75 1

» Japanese version

DBGET integrated database retrieval system