| Entry |
|
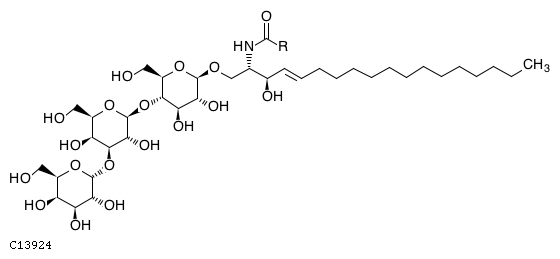
| Name |
Gal-alpha1->3Gal-beta1->4Glc-beta1->1'Cer;
iGb3Cer
|
| Formula |
C37H66NO18R
|
| Structure |

|
| Remark |
|
| Pathway |
| map00603 | Glycosphingolipid biosynthesis - globo and isoglobo series |
|
| Brite |
Lipids [BR:br08002]
SP Sphingolipids
SP05 Neutral glycosphingolipids
SP0506 Galalpha1-3Galbeta1-4Glc- (Isoglobo series)
G00403 Gal-alpha1->3Gal-beta1->4Glc-beta1->1'Cer (iGb3Cer)
|
| Other DBs |
|
| LinkDB |
|
| KCF data |
ATOM 57
1 O2a O 19.6706 -16.1004
2 C1y C 20.9306 -15.4004
3 C1y C 20.9306 -14.0003
4 C1y C 22.0506 -16.1471
5 O2x O 22.1439 -13.3936
6 C1b C 19.7173 -13.3003
7 C1y C 23.3574 -15.4471
8 O1a O 22.0506 -17.5471
9 C1y C 23.3574 -14.0936
10 O1a O 18.5038 -14.0470
11 O1a O 24.4774 -16.1937
12 O2a O 24.5707 -13.4403
13 C1b C 25.7840 -14.0936
14 C1c C 26.9974 -13.3936
15 C1c C 28.2575 -14.0936
16 N1b N 26.9974 -11.9936
17 C2b C 29.4708 -13.3936
18 O1a O 28.2575 -15.4937
19 C5a C 28.2108 -11.2936
20 C2b C 30.6841 -14.0470
21 O5a O 28.2108 -9.8935
22 R R 29.4241 -11.9936
23 C1b C 31.8976 -13.3470
24 C1b C 33.1109 -14.0470
25 C1b C 34.3242 -13.3470
26 C1b C 35.5843 -14.0003
27 C1b C 36.7977 -13.3003
28 C1b C 38.0110 -14.0003
29 C1b C 39.2243 -13.2536
30 C1b C 40.4378 -13.9536
31 C1b C 41.6978 -13.2536
32 C1b C 42.9111 -13.9536
33 C1b C 44.1245 -13.2536
34 C1b C 45.3379 -13.9070
35 C1a C 46.5512 -13.2070
36 C1y C 16.0305 -16.8004
37 C1y C 16.0305 -18.2005
38 O2x O 17.2438 -16.1004
39 C1b C 14.8171 -16.1004
40 C1y C 17.2438 -18.9005
41 O1a O 14.8171 -18.9005
42 C1y C 18.4572 -16.8004
43 O1a O 13.7437 -16.9871
44 C1y C 18.4572 -18.2005
45 O2a O 17.2438 -20.3005
46 O1a O 19.6706 -18.9005
47 C1y C 13.6037 -21.0005
48 C1y C 13.6037 -22.4006
49 O2x O 14.8171 -20.3005
50 C1b C 12.3904 -20.3005
51 C1y C 14.8171 -23.1006
52 O1a O 12.3904 -23.1006
53 C1y C 16.0305 -21.0005
54 O1a O 11.3171 -21.1872
55 C1y C 16.0305 -22.4006
56 O1a O 14.8171 -24.5006
57 O1a O 17.2438 -23.1006
BOND 59
1 2 1 1 #Down
2 2 3 1
3 2 4 1
4 3 5 1
5 3 6 1 #Up
6 4 7 1
7 4 8 1 #Up
8 5 9 1
9 6 10 1
10 7 11 1 #Down
11 9 12 1 #Up
12 12 13 1
13 13 14 1
14 14 15 1
15 14 16 1 #Down
16 15 17 1
17 15 18 1 #Up
18 16 19 1
19 17 20 2
20 19 21 2
21 19 22 1
22 20 23 1
23 23 24 1
24 24 25 1
25 25 26 1
26 26 27 1
27 27 28 1
28 28 29 1
29 29 30 1
30 30 31 1
31 31 32 1
32 32 33 1
33 33 34 1
34 34 35 1
35 7 9 1
36 36 37 1
37 36 38 1
38 36 39 1 #Up
39 37 40 1
40 37 41 1 #Up
41 38 42 1
42 39 43 1
43 40 44 1
44 40 45 1 #Up
45 42 1 1 #Up
46 44 46 1 #Down
47 42 44 1
48 47 48 1
49 47 49 1
50 47 50 1 #Up
51 48 51 1
52 48 52 1 #Up
53 49 53 1
54 50 54 1
55 51 55 1
56 51 56 1 #Up
57 53 45 1 #Down
58 55 57 1 #Down
59 53 55 1
|