| Entry |
|
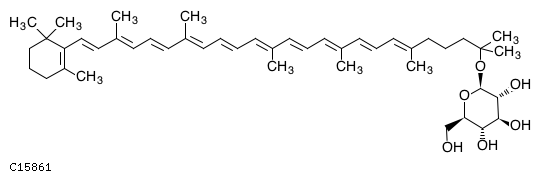
| Name |
1'-Hydroxy-gamma-carotene glucoside
|
| Formula |
C46H68O6
|
| Exact mass |
716.5016
|
| Mol weight |
717.03
|
| Structure |

|
| Reaction |
|
| Pathway |
| map01110 | Biosynthesis of secondary metabolites |
|
| Brite |
Lipids [BR:br08002]
PR Prenol lipids
PR01 Isoprenoids
PR0107 C40 isoprenoids (tetraterpenes)
C15861 1'-Hydroxy-gamma-carotene glucoside
|
| Other DBs |
|
| LinkDB |
|
| KCF data |
ATOM 52
1 C2y C 15.4000 -20.0200
2 C2b C 16.5900 -19.3200
3 C2b C 17.7800 -20.0200
4 C2c C 19.0400 -19.3200
5 C2b C 20.2300 -20.0200
6 C2b C 21.4200 -19.3200
7 C2b C 22.6800 -20.0200
8 C2c C 23.8700 -19.3200
9 C2b C 25.1300 -20.0200
10 C2b C 26.3200 -19.3200
11 C2b C 27.5100 -20.0200
12 C2b C 28.7700 -19.3200
13 C2c C 29.9600 -20.0200
14 C2b C 31.1500 -19.3200
15 C2b C 32.4100 -20.0200
16 C2b C 33.6000 -19.3200
17 C2c C 34.7900 -20.0200
18 C2b C 36.0500 -19.3200
19 C2b C 37.2400 -20.0200
20 C2b C 38.4300 -19.3200
21 C2c C 39.6900 -20.0200
22 C1b C 40.8800 -19.3200
23 C1b C 42.0700 -20.0200
24 C1b C 43.3300 -19.3200
25 C1d C 44.5200 -20.0200
26 C1a C 45.7100 -19.3200
27 C1a C 19.0400 -17.9200
28 C1a C 23.8700 -17.9200
29 C1a C 34.7900 -21.4200
30 C1a C 39.6900 -21.4200
31 O2a O 44.5200 -21.4200
32 C1z C 14.1400 -19.3200
33 C1x C 12.9500 -20.0200
34 C1x C 12.9500 -21.4200
35 C1x C 14.1400 -22.1200
36 C2y C 15.4000 -21.4200
37 C1a C 15.1200 -18.3400
38 C1a C 13.1600 -18.3400
39 C1a C 16.5900 -22.1200
40 C1a C 29.9600 -21.4200
41 C1a C 45.8500 -20.3700
42 C1y C 44.5282 -22.8006
43 O2x O 43.3859 -23.4818
44 C1y C 43.3942 -24.8624
45 C1y C 44.6407 -25.5860
46 C1y C 45.7830 -24.9049
47 C1y C 45.7389 -23.4642
48 C1b C 42.1316 -25.6152
49 O1a O 42.1757 -27.0559
50 O1a O 44.6490 -26.9666
51 O1a O 46.9937 -25.5684
52 O1a O 47.0015 -22.7113
BOND 53
1 1 2 1
2 2 3 2
3 3 4 1
4 4 5 2
5 5 6 1
6 6 7 2
7 7 8 1
8 8 9 2
9 9 10 1
10 10 11 2
11 11 12 1
12 12 13 2
13 13 14 1
14 14 15 2
15 15 16 1
16 16 17 2
17 17 18 1
18 18 19 2
19 19 20 1
20 20 21 2
21 21 22 1
22 22 23 1
23 23 24 1
24 24 25 1
25 25 26 1
26 4 27 1
27 8 28 1
28 17 29 1
29 21 30 1
30 25 31 1
31 1 32 1
32 32 33 1
33 33 34 1
34 34 35 1
35 35 36 1
36 1 36 2
37 32 37 1
38 32 38 1
39 36 39 1
40 13 40 1
41 25 41 1
42 42 31 1 #Up
43 42 43 1
44 43 44 1
45 44 45 1
46 45 46 1
47 46 47 1
48 42 47 1
49 44 48 1 #Up
50 48 49 1
51 45 50 1 #Down
52 46 51 1 #Up
53 47 52 1 #Down
|