| Entry |
|
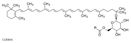
| Name |
1'-Hydroxy-gamma-carotene glucoside ester
|
| Formula |
C47H67O7R
|
| Structure |

|
| Reaction |
|
| Pathway |
| map01110 | Biosynthesis of secondary metabolites |
|
| Brite |
Lipids [BR:br08002]
PR Prenol lipids
PR01 Isoprenoids
PR0107 C40 isoprenoids (tetraterpenes)
C15864 1'-Hydroxy-gamma-carotene glucoside ester
|
| Other DBs |
|
| LinkDB |
|
| KCF data |
ATOM 55
1 C2y C 12.6038 -16.5949
2 C2b C 13.7941 -15.8947
3 C2b C 14.9844 -16.5949
4 C2c C 16.2447 -15.8947
5 C2b C 17.4350 -16.5949
6 C2b C 18.6253 -15.8947
7 C2b C 19.8857 -16.5949
8 C2c C 21.0759 -15.8947
9 C2b C 22.3363 -16.5949
10 C2b C 23.5266 -15.8947
11 C2b C 24.7169 -16.5949
12 C2b C 25.9772 -15.8947
13 C2c C 27.1675 -16.5949
14 C2b C 28.3578 -15.8947
15 C2b C 29.6181 -16.5949
16 C2b C 30.8084 -15.8947
17 C2c C 31.9987 -16.5949
18 C2b C 33.2590 -15.8947
19 C2b C 34.4493 -16.5949
20 C2b C 35.6396 -15.8947
21 C2c C 36.8999 -16.5949
22 C1b C 38.0902 -15.8947
23 C1b C 39.2805 -16.5949
24 C1b C 40.5408 -15.8947
25 C1d C 41.7311 -16.5949
26 C1a C 42.9214 -15.8947
27 C1a C 16.2447 -14.4944
28 C1a C 21.0759 -14.4944
29 C1a C 31.9987 -17.9953
30 C1a C 36.8999 -17.9953
31 O2a O 41.7311 -17.9953
32 C1z C 11.3435 -15.8947
33 C1x C 10.1532 -16.5949
34 C1x C 10.1532 -17.9953
35 C1x C 11.3435 -18.6954
36 C2y C 12.6038 -17.9953
37 C1a C 12.3238 -14.9145
38 C1a C 10.3633 -14.9145
39 C1a C 13.7941 -18.6954
40 C1a C 27.1675 -17.9953
41 C1a C 43.0614 -16.9450
42 C1y C 41.7359 -19.3762
43 O2x O 40.5915 -20.0547
44 C1y C 40.5963 -21.4356
45 C1y C 41.8414 -22.1626
46 C1y C 42.9857 -21.4841
47 C1y C 42.9452 -20.0430
48 C1b C 39.3316 -22.1855
49 O1a O 41.8461 -23.5435
50 O1a O 44.1950 -22.1509
51 O1a O 44.2100 -19.2931
52 O7a O 38.1194 -21.5043
53 C7a C 36.9441 -22.2013
54 R R 35.7310 -21.5195
55 O6a O 36.9604 -23.5900
BOND 56
1 1 2 1
2 2 3 2
3 3 4 1
4 4 5 2
5 5 6 1
6 6 7 2
7 7 8 1
8 8 9 2
9 9 10 1
10 10 11 2
11 11 12 1
12 12 13 2
13 13 14 1
14 14 15 2
15 15 16 1
16 16 17 2
17 17 18 1
18 18 19 2
19 19 20 1
20 20 21 2
21 21 22 1
22 22 23 1
23 23 24 1
24 24 25 1
25 25 26 1
26 4 27 1
27 8 28 1
28 17 29 1
29 21 30 1
30 25 31 1
31 1 32 1
32 32 33 1
33 33 34 1
34 34 35 1
35 35 36 1
36 1 36 2
37 32 37 1
38 32 38 1
39 36 39 1
40 13 40 1
41 25 41 1
42 42 31 1 #Up
43 42 43 1
44 43 44 1
45 44 45 1
46 45 46 1
47 46 47 1
48 42 47 1
49 44 48 1 #Up
50 45 49 1 #Down
51 46 50 1 #Up
52 47 51 1 #Down
53 48 52 1
54 52 53 1
55 53 54 1
56 53 55 2
|