| Entry |
|
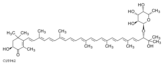
| Name |
(3S,2'S)-4-Ketomyxol 2'-alpha-L-fucoside
|
| Formula |
C46H64O8
|
| Exact mass |
744.4601
|
| Mol weight |
744.99
|
| Structure |

|
| Reaction |
|
| Pathway |
| map01110 | Biosynthesis of secondary metabolites |
|
| Enzyme |
|
| Brite |
Lipids [BR:br08002]
PR Prenol lipids
PR01 Isoprenoids
PR0107 C40 isoprenoids (tetraterpenes)
C15942 (3S,2'S)-4-Ketomyxol 2'-alpha-L-fucoside
|
| Other DBs |
|
| LinkDB |
|
| KCF data |
ATOM 54
1 C2y C 13.8673 -22.1024
2 C2b C 15.0481 -21.4079
3 C2b C 16.2289 -22.1024
4 C2c C 17.4792 -21.4079
5 C2b C 18.6599 -22.1024
6 C2b C 19.8407 -21.4079
7 C2b C 21.0910 -22.1024
8 C2c C 22.2717 -21.4079
9 C2b C 23.5220 -22.1024
10 C2b C 24.7028 -21.4079
11 C2b C 25.8836 -22.1024
12 C2b C 27.1338 -21.4079
13 C2c C 28.3145 -22.1024
14 C2b C 29.4954 -21.4079
15 C2b C 30.7456 -22.1024
16 C2b C 31.9264 -21.4079
17 C2c C 33.1073 -22.1024
18 C2b C 34.3575 -21.4079
19 C2b C 35.5382 -22.1024
20 C2b C 36.7190 -21.4079
21 C2c C 37.9693 -22.1024
22 C2b C 39.1500 -21.4079
23 C2b C 40.3309 -22.1024
24 C1c C 41.5812 -21.4079
25 C1d C 42.7618 -22.1024
26 C1a C 43.9427 -21.4079
27 C1a C 17.4792 -20.0188
28 C1a C 22.2717 -20.0188
29 C1a C 33.1073 -23.4916
30 C1a C 37.9693 -23.4916
31 O1a O 42.7618 -23.4916
32 C1z C 12.6171 -21.4079
33 C1x C 11.4363 -22.1024
34 C1y C 11.4363 -23.4916
35 C5x C 12.6171 -24.1862
36 C2y C 13.8673 -23.4916
37 C1a C 15.0481 -24.1862
38 C1a C 28.3145 -23.4916
39 C1a C 44.0817 -22.4498
40 O2a O 41.5812 -20.0188
41 C1y C 41.5812 -18.1434
42 C1y C 40.3201 -17.4651
43 O2x O 42.7664 -17.4191
44 C1y C 40.3133 -16.0691
45 O1a O 39.1282 -18.2586
46 C1y C 42.7598 -16.0229
47 C1y C 41.4988 -15.3446
48 O1a O 39.1150 -15.4666
49 C1a C 43.8761 -15.2919
50 O1a O 41.4230 -13.9419
51 O1a O 10.1891 -24.2046
52 O5x O 12.6000 -25.5596
53 C1a C 11.6271 -20.4179
54 C1a C 13.6070 -20.4179
BOND 55
1 1 2 1
2 2 3 2
3 3 4 1
4 4 5 2
5 5 6 1
6 6 7 2
7 7 8 1
8 8 9 2
9 9 10 1
10 10 11 2
11 11 12 1
12 12 13 2
13 13 14 1
14 14 15 2
15 15 16 1
16 16 17 2
17 17 18 1
18 18 19 2
19 19 20 1
20 20 21 2
21 21 22 1
22 22 23 2
23 23 24 1
24 24 25 1
25 25 26 1
26 4 27 1
27 8 28 1
28 17 29 1
29 21 30 1
30 25 31 1
31 1 32 1
32 32 33 1
33 33 34 1
34 34 35 1
35 35 36 1
36 1 36 2
37 36 37 1
38 13 38 1
39 25 39 1
40 24 40 1 #Down
41 41 42 1
42 41 43 1
43 42 44 1
44 42 45 1 #Up
45 43 46 1
46 44 47 1
47 44 48 1 #Down
48 46 49 1 #Down
49 47 50 1 #Down
50 46 47 1
51 41 40 1 #Up
52 34 51 1 #Up
53 35 52 2
54 32 53 1
55 32 54 1
|