KEGG   COMPOUND: C15963
Entry
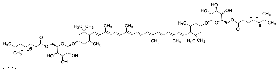
C15963                      Compound                               
Name
Thermobiszeaxanthin-13-15
Formula
C80H128O14
Exact mass
1312.9304
Mol weight
1313.86
Structure
Brite
Lipids [BR:br08002]
 PR  Prenol lipids
  PR01 Isoprenoids
   PR0107 C40 isoprenoids (tetraterpenes)
    C15963  Thermobiszeaxanthin-13-15
Other DBs
PubChem: 47205276
LIPIDMAPS: LMPR01070111
NIKKAJI: J2.799.792I
LinkDB
KCF data

ATOM        94
            1   C1y C    48.0900  -12.8800
            2   O2x O    49.2800  -13.5100
            3   C1y C    50.5400  -12.8800
            4   C1y C    50.4700  -11.4800
            5   C1y C    49.2800  -10.7800
            6   C1y C    48.0900  -11.4800
            7   C1b C    51.7300  -13.5800
            8   O7a O    52.9200  -12.8800
            9   O1a O    51.7300  -10.7100
            10  O1a O    46.8300  -10.7800
            11  O1a O    49.2100   -9.3800
            12  C7a C    54.1800  -13.5800
            13  O6a O    54.1800  -14.9800
            14  C1b C    55.4400  -12.8800
            15  C1b C    56.6300  -13.5100
            16  C1b C    57.8200  -12.8100
            17  C1b C    59.0100  -13.5100
            18  C1c C    60.2000  -12.8100
            19  C1a C    61.3900  -13.5100
            20  C1a C    60.2000  -11.4100
            21  C2y C    20.2300  -16.3100
            22  C1z C    18.9700  -15.6100
            23  C2y C    20.2300  -17.7100
            24  C2b C    21.4200  -15.6100
            25  C1x C    17.7800  -16.3100
            26  C1a C    19.6700  -14.3500
            27  C1a C    18.2700  -14.3500
            28  C1x C    18.9700  -18.4100
            29  C1a C    21.4200  -18.4100
            30  C2b C    22.6100  -16.3100
            31  C1y C    17.7800  -17.7100
            32  C2c C    23.8700  -15.6100
            33  C2b C    25.0600  -16.3100
            34  C1a C    23.8700  -14.2100
            35  C2b C    26.2500  -15.6100
            36  C2b C    27.5100  -16.3100
            37  C2c C    28.7000  -15.6100
            38  C2b C    29.8900  -16.3100
            39  C1a C    28.7000  -14.2100
            40  C2b C    31.1500  -15.6100
            41  C2b C    32.3400  -16.3100
            42  C2b C    33.5300  -15.6100
            43  C2c C    34.7200  -16.3100
            44  C2b C    35.9800  -15.6100
            45  C1a C    34.7200  -17.7100
            46  C2b C    37.1700  -16.3100
            47  C2b C    38.3600  -15.6100
            48  C2c C    39.6200  -16.3100
            49  C2b C    40.8100  -15.6800
            50  C1a C    39.6200  -17.7100
            51  C2b C    42.0700  -16.3800
            52  C2y C    43.3300  -15.6800
            53  C1z C    44.5200  -16.3800
            54  C2y C    43.3300  -14.2800
            55  C1x C    45.7100  -15.6800
            56  C1a C    44.1700  -17.7100
            57  C1a C    45.2200  -17.5700
            58  C1x C    44.5200  -13.5800
            59  C1a C    42.0700  -13.5800
            60  C1y C    45.7100  -14.2800
            61  O2a O    16.5200  -18.4100
            62  C1y C    15.2600  -19.0400
            63  O2x O    14.0700  -18.4100
            64  C1y C    12.8100  -19.0400
            65  C1y C    12.8800  -20.4400
            66  C1y C    14.0700  -21.1400
            67  C1y C    15.2600  -20.4400
            68  C1b C    11.6200  -18.3400
            69  O7a O    10.4300  -19.0400
            70  O1a O    11.6200  -21.2100
            71  O1a O    16.5200  -21.1400
            72  O1a O    14.1400  -22.5400
            73  C7a C     9.1700  -18.3400
            74  O6a O     9.1700  -16.9400
            75  C1b C     7.9800  -19.0400
            76  C1b C     6.7900  -18.4100
            77  C1b C     5.6000  -19.1100
            78  C1b C     4.4100  -18.4100
            79  C1c C     3.2200  -19.1100
            80  C1a C     2.0300  -18.4100
            81  C1a C     3.2200  -20.5100
            82  O2a O    46.9700  -13.5800
            83  C1b C     5.6000  -19.1100
            84  C1b C     5.6000  -19.1100
            85  C1b C     5.6000  -19.1100
            86  C1b C     5.6000  -19.1100
            87  C1b C     5.6000  -19.1100
            88  C1b C    57.8200  -12.8100
            89  C1b C    57.8200  -12.8100
            90  C1b C    57.8200  -12.8100
            91  C1b C    57.8200  -12.8100
            92  C1b C    57.8200  -12.8100
            93  C1b C    57.8200  -12.8100
            94  C1b C    57.8200  -12.8100
BOND        97
            1     1   2 1
            2     2   3 1
            3     3   4 1
            4     4   5 1
            5     5   6 1
            6     1   6 1
            7     7   8 1
            8     3   7 1 #Up
            9     4   9 1 #Down
            10    6  10 1 #Down
            11    5  11 1 #Up
            12    8  12 1
            13   12  13 2
            14   12  14 1
            15   14  15 1
            16   17  18 1
            17   18  19 1
            18   18  20 1
            19   21  22 1
            20   21  23 2
            21   21  24 1
            22   22  25 1
            23   22  26 1
            24   22  27 1
            25   23  28 1
            26   23  29 1
            27   24  30 2
            28   25  31 1
            29   30  32 1
            30   32  33 2
            31   32  34 1
            32   33  35 1
            33   35  36 2
            34   36  37 1
            35   37  38 2
            36   37  39 1
            37   38  40 1
            38   40  41 2
            39   41  42 1
            40   42  43 2
            41   43  44 1
            42   43  45 1
            43   44  46 2
            44   46  47 1
            45   47  48 2
            46   48  49 1
            47   48  50 1
            48   49  51 2
            49   51  52 1
            50   52  53 1
            51   52  54 2
            52   53  55 1
            53   53  56 1
            54   53  57 1
            55   54  58 1
            56   54  59 1
            57   55  60 1
            58   58  60 1
            59   31  28 1
            60   31  61 1 #Up
            61   62  63 1
            62   63  64 1
            63   64  65 1
            64   65  66 1
            65   66  67 1
            66   62  67 1
            67   62  61 1 #Up
            68   68  69 1
            69   64  68 1 #Up
            70   65  70 1 #Down
            71   67  71 1 #Down
            72   66  72 1 #Up
            73   69  73 1
            74   73  74 2
            75   73  75 1
            76   75  76 1
            77   78  79 1
            78   79  80 1
            79   79  81 1
            80   60  82 1 #Up
            81    1  82 1 #Up
            82   76  77 1
            83   77  83 1
            84   83  84 1
            85   84  85 1
            86   85  86 1
            87   86  87 1
            88   87  78 1
            89   15  16 1
            90   16  88 1
            91   88  89 1
            92   89  90 1
            93   90  91 1
            94   91  92 1
            95   92  93 1
            96   93  94 1
            97   94  17 1
BRACKET     1     4.9700  -19.8800    4.9700  -17.6400
            1     6.0200  -17.6400    6.0200  -19.8800
            1  6
 ORIGINAL  1   77
 REPEAT    1   83  84  85  86  87
            2    57.3300  -14.4900   57.3300  -12.2500
            2    58.4500  -12.2500   58.4500  -14.4900
            2  8
 ORIGINAL  2   16
 REPEAT    2   88  89  90  91  92  93  94

» Japanese version

DBGET integrated database retrieval system