KEGG   COMPOUND: C16070
Entry
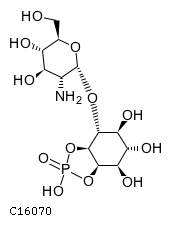
C16070                      Compound                               
Name
6-(alpha-D-Glucosaminyl)-1D-myo-inositol 1,2-cyclic phosphate
Formula
C12H22NO12P
Exact mass
403.0880
Mol weight
403.28
Structure
Reaction
Enzyme
Other DBs
CAS: 140391-24-8
PubChem: 47205380
ChEBI: 52426
NIKKAJI: J469.315I
LinkDB
KCF data

ATOM        26
            1   O2x O    24.6156  -23.3839
            2   C1y C    25.9350  -23.3929
            3   C1y C    26.6114  -22.2308
            4   C1y C    26.6075  -24.5596
            5   C1y C    27.9569  -22.2274
            6   O2a O    26.2070  -19.8841
            7   C1y C    27.9437  -24.5751
            8   O2x O    25.9282  -25.7097
            9   C1y C    28.6224  -23.4083
            10  O1a O    28.6213  -21.0822
            11  O1a O    28.6032  -25.7386
            12  O1a O    29.9621  -23.4056
            13  C1y C    25.1267  -17.6519
            14  C1y C    24.0325  -18.4307
            15  O2x O    24.9953  -16.3164
            16  C1y C    22.8162  -17.8747
            17  N1a N    23.9576  -19.7616
            18  C1y C    23.7720  -15.7601
            19  C1y C    22.6777  -16.5390
            20  O1a O    21.7384  -18.6467
            21  C1b C    23.6541  -14.4506
            22  O1a O    21.4819  -16.0018
            23  O1a O    22.3529  -14.1127
            24  P1b P    24.2656  -24.8764
            25  O1c O    22.7731  -24.1064
            26  O1c O    23.7756  -26.3688
BOND        28
            1     5   9 1
            2     5  10 1 #Up
            3     7  11 1 #Up
            4     9  12 1 #Down
            5     7   9 1
            6     2   1 1 #Up
            7     2   3 1
            8     2   4 1
            9     3   5 1
            10    3   6 1 #Down
            11    4   7 1
            12    4   8 1 #Up
            13   13  14 1
            14   13   6 1 #Down
            15   13  15 1
            16   14  16 1
            17   14  17 1 #Down
            18   15  18 1
            19   16  19 1
            20   16  20 1 #Up
            21   18  21 1 #Up
            22   19  22 1 #Down
            23   21  23 1
            24   18  19 1
            25    1  24 1
            26    8  24 1
            27   24  25 2
            28   24  26 1

» Japanese version

DBGET integrated database retrieval system