KEGG   COMPOUND: C16271
Entry
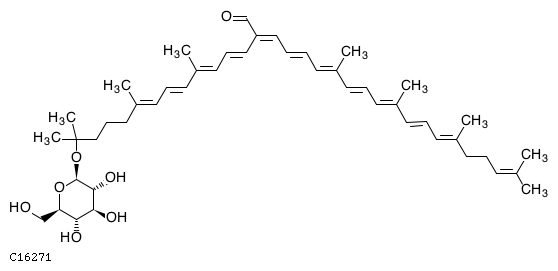
C16271                      Compound                               
Name
Rhodopinal glucoside
Formula
C46H66O7
Exact mass
730.4809
Mol weight
731.01
Structure
Reaction
Pathway
map00906  Carotenoid biosynthesis
Brite
Lipids [BR:br08002]
 PR  Prenol lipids
  PR01 Isoprenoids
   PR0107 C40 isoprenoids (tetraterpenes)
    C16271  Rhodopinal glucoside
Other DBs
PubChem: 47205579
ChEBI: 45365
LIPIDMAPS: LMPR01070483
NIKKAJI: J2.799.328A
LinkDB
KCF data

ATOM        53
            1   C1y C    22.1967  -27.4965
            2   O2x O    20.9734  -28.2027
            3   C1y C    20.9733  -29.6027
            4   C1y C    22.1857  -30.3028
            5   C1y C    23.4090  -29.5966
            6   C1y C    23.4091  -28.1966
            7   C1d C    22.1967  -24.6965
            8   C1b C    23.5972  -24.6975
            9   C1b C    24.2983  -23.4852
            10  C1b C    25.6988  -23.4863
            11  C2c C    26.3999  -22.2740
            12  C2b C    27.8003  -22.2750
            13  C2b C    28.5015  -21.0627
            14  C2b C    29.9019  -21.0637
            15  C2c C    30.6031  -19.8514
            16  C2b C    32.0035  -19.8525
            17  C2b C    32.7046  -18.6402
            18  C2b C    34.1051  -18.6412
            19  C2c C    34.8062  -17.4289
            20  C2b C    36.2067  -17.4299
            21  C1a C    20.7963  -24.6965
            22  C1a C    25.6971  -21.0547
            23  C1a C    29.8874  -18.6103
            24  C4a C    34.1084  -16.2183
            25  C2b C    36.9024  -18.6478
            26  C2b C    38.3029  -18.6458
            27  C2b C    39.0049  -19.8576
            28  C2c C    40.4054  -19.8555
            29  C2b C    41.1073  -21.0673
            30  C2b C    42.5077  -21.0653
            31  C2b C    43.2098  -22.2771
            32  C2c C    44.6102  -22.2750
            33  C2b C    45.3123  -23.4868
            34  C2b C    46.7127  -23.4848
            35  C2b C    47.4147  -24.6966
            36  C2c C    48.8152  -24.6945
            37  C1b C    49.5171  -25.9063
            38  C1b C    50.9176  -25.9043
            39  C2b C    51.6196  -27.1161
            40  C2c C    53.0201  -27.1140
            41  C1a C    53.7221  -28.3258
            42  C1a C    41.0896  -18.6669
            43  C1a C    45.3102  -21.0587
            44  C1a C    49.5006  -23.5032
            45  C1a C    53.7214  -25.8953
            46  O4a O    32.6995  -16.2171
            47  C1a C    21.8344  -23.3442
            48  O2a O    22.1967  -26.0965
            49  C1b C    19.7779  -30.2930
            50  O1a O    24.6051  -30.2876
            51  O1a O    22.1856  -31.7100
            52  O1a O    24.5939  -27.5126
            53  O1a O    18.5968  -29.6113
BOND        53
            1     1   2 1
            2     2   3 1
            3     3   4 1
            4     4   5 1
            5     5   6 1
            6     1   6 1
            7     7   8 1
            8     8   9 1
            9     9  10 1
            10   10  11 1
            11   11  12 2
            12   12  13 1
            13   13  14 2
            14   14  15 1
            15   15  16 2
            16   16  17 1
            17   17  18 2
            18   18  19 1
            19   19  20 2
            20    7  21 1
            21   11  22 1
            22   15  23 1
            23   19  24 1
            24   20  25 1
            25   25  26 2
            26   26  27 1
            27   27  28 2
            28   28  29 1
            29   29  30 2
            30   30  31 1
            31   31  32 2
            32   32  33 1
            33   33  34 2
            34   34  35 1
            35   35  36 2
            36   36  37 1
            37   37  38 1
            38   38  39 1
            39   39  40 2
            40   40  41 1
            41   28  42 1
            42   32  43 1
            43   36  44 1
            44   40  45 1
            45   24  46 2
            46    7  47 1
            47    7  48 1
            48    1  48 1 #Up
            49    3  49 1 #Up
            50    5  50 1 #Up
            51    4  51 1 #Down
            52    6  52 1 #Down
            53   49  53 1

» Japanese version

DBGET integrated database retrieval system