KEGG   COMPOUND: C16411
Entry
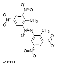
C16411                      Compound                               
Name
4,4',6,6'-Tetranitro-2,2'-azoxytoluene
Formula
C14H10N6O9
Exact mass
406.0509
Mol weight
406.26
Structure
Reaction
Pathway
map00633  Nitrotoluene degradation
Other DBs
CAS: 35212-01-2
PubChem: 47205709
NIKKAJI: J697.736G
LinkDB
KCF data

ATOM        29
            1   N2b N    12.3200  -18.6200 #+
            2   N2b N    13.7200  -18.6200
            3   C8y C    14.4200  -19.8324
            4   C8y C    11.6200  -17.4076
            5   C8x C    13.7296  -21.0279
            6   C8y C    14.4295  -22.2404
            7   C8x C    15.8295  -22.2406
            8   C8y C    16.5199  -21.0451
            9   C8y C    15.8200  -19.8326
            10  C8y C    12.3104  -16.2121
            11  C8y C    11.6105  -14.9996
            12  C8x C    10.2105  -14.9994
            13  C8y C     9.5201  -16.1949
            14  C8x C    10.2200  -17.4074
            15  C1a C    13.7197  -16.2120
            16  N2b N    12.3215  -13.7684 #+
            17  N2b N     8.1202  -16.1947 #+
            18  C1a C    16.5300  -18.6034
            19  N2b N    17.9198  -21.0453 #+
            20  N2b N    13.7185  -23.4716 #+
            21  O3a O    11.6200  -19.8324 #-
            22  O3a O    12.3202  -23.4713
            23  O3a O    18.6094  -19.8515
            24  O3a O    13.7198  -13.7687
            25  O3a O     7.4306  -17.3885
            26  O3a O     7.4095  -14.9637 #-
            27  O3a O    11.6305  -12.5715 #-
            28  O3a O    18.6305  -22.2763 #-
            29  O3a O    14.4094  -24.6685 #-
BOND        30
            1     1   2 2
            2     2   3 1
            3     1   4 1
            4     3   5 2
            5     5   6 1
            6     6   7 2
            7     7   8 1
            8     8   9 2
            9     3   9 1
            10    4  10 2
            11   10  11 1
            12   11  12 2
            13   12  13 1
            14   13  14 2
            15    4  14 1
            16   10  15 1
            17   11  16 1
            18   13  17 1
            19    9  18 1
            20    8  19 1
            21    6  20 1
            22    1  21 1
            23   20  22 2
            24   19  23 2
            25   16  24 2
            26   17  25 2
            27   17  26 1
            28   16  27 1
            29   19  28 1
            30   20  29 1

» Japanese version

DBGET integrated database retrieval system